Đăng nhập để hỏi chi tiết


Hãy luôn nhớ cảm ơn và vote 5*
nếu câu trả lời hữu ích nhé!
Đáp án:+Giải thích các bước giải:
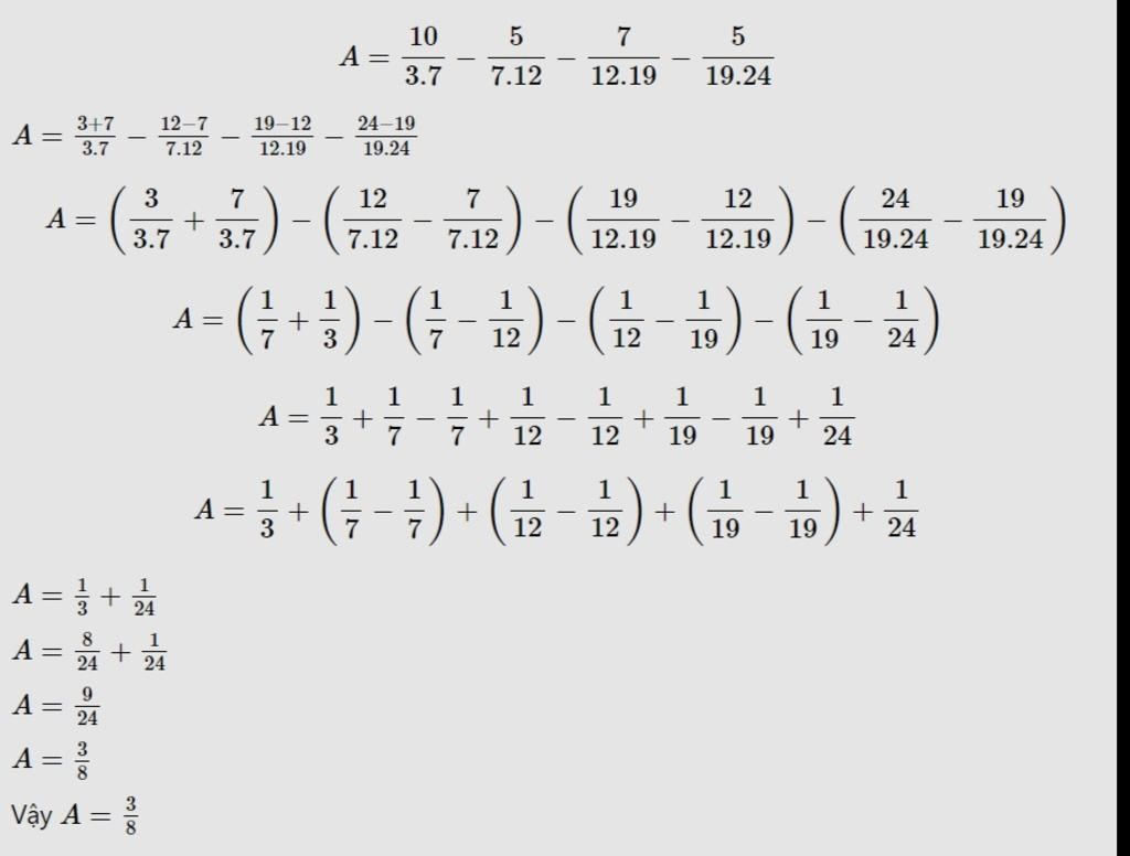
`A = 10/(3.7) - 5/(7.12) - 7/(12.19) - 5/(19.24)`
`=> A = 10/21 - ( 1/7 - 1/12 + 1/12 - 1/19 + 1/19 - 1/24 )`
`=> A = 10/21 - ( 1/7 - 1/24 )`
`=> A = 10/21 - 17/168`
`=> A = 3/8`
Vậy `A = 3/8`
Hãy giúp mọi người biết câu trả lời này thế nào?
Bảng tin
230
44
105
chúc bạn đạt nốt 1 TLHN nhá!! nhưng bài đó mình thấy giống tìm trên mạng :)
103
4850
58
bài cô giáo mình chữa đó
103
4850
58
mình được chữa rồi nhé
230
44
105
ok bn, chúc bn lên hạng TÀI NĂNG NHA
103
4850
58
thanks bạn nhé