

Hãy luôn nhớ cảm ơn và vote 5*
nếu câu trả lời hữu ích nhé!
$2CH_4\xrightarrow[xt]{1500^o}C_2H_2+3H_2\uparrow$
`C_2H_2+2AgNO_3+2NH_3->C_2Ag_2downarrow_{vàng}+2NH_4NO_3`
`C_2Ag_2+2HCl->C_2H_2+2AgCldownarrow`
$C_2H_2+HCl\xrightarrow[t^o]{HgCl_2}C_2H_3Cl$
$nC_2H_3Cl\xrightarrow[p]{t^o,xt}(\kern-6pt- CH_2-CH(Cl) -\kern-6pt)_n$
Xin câu trả lời hay nhất ạ!
Good luck!
/Teacher Hill 17/
Hãy giúp mọi người biết câu trả lời này thế nào?
Đáp án:
Giải thích các bước giải:
C8H10 :
C6H5CH2CH3 : etyl benzen
C6H4(CH3)2 : 3 vị trí o,m,p : o-xilen, m-xilen, p-xilen
C4H10O :
CH3CH2CH2CH2OH: butan-1-ol
CH3-CH(CH3)-CH2-OH : 2-metylpropan-1-ol
CH3-CH(OH)-CH2-CH3 : butan-2-ol
CH3-C(CH3)2-OH : 2-metylpropan-2-ol
C5H12O:
CH3CH2CH2CH2CH2OH : pentan-1-ol
CH3CH2CH2CH(CH3)OH: 1-metylbutan-1-ol
CH3CH2CH(CH3)CH2OH : 2-metylbutan-1-ol
CH3CH(CH3)CH2CH2OH : 3-metylbutan-1-ol
CH3-C-(CH3)2-CH2OH: 2,2-đimetylpropan-1-ol
CH3CH(OH)CH2CH2CH3 : pentan-2-ol
CH3-CH(OH)- CH(CH3)- CH3: 3-metylbutan-2-ol
CH3CH2CH(OH)CH2CH3 : pentan-3-ol
C4H8O :
CH3CH2CH2CHO: butanal
CH3CH(CH3)CHO: 2-metylpropanal
C5H10O :
CH3CH2CH2CH2CHO: pentanal
CH3CH2CH(CH3)CHO: 2-metylbutanal
CH3CH(CH3)CH2CHO : 3-metylbutanal
CH3C(CH3)2CHO: 2,2-đimetylpropanal
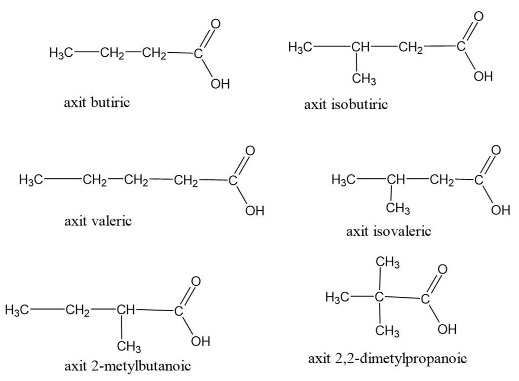
C4H8O2:
CH3CH2CH2COOH : axit butanoic
CH3CH(CH3)COOH : axit 2-metylpropanoic
C5H10O2 :
CH3CH2CH2CH2COOH : axit pentanoic
CH3CH2CH(CH3)COOH: axit 2-metylbutanoic
CH3CH(CH3)CH2COOH : axit 3-metylbutanoic
CH3C(CH3)2COOH : axit 2,2-đimetylpropanoic
Hãy giúp mọi người biết câu trả lời này thế nào?
Bảng tin