

Hãy luôn nhớ cảm ơn và vote 5*
nếu câu trả lời hữu ích nhé!
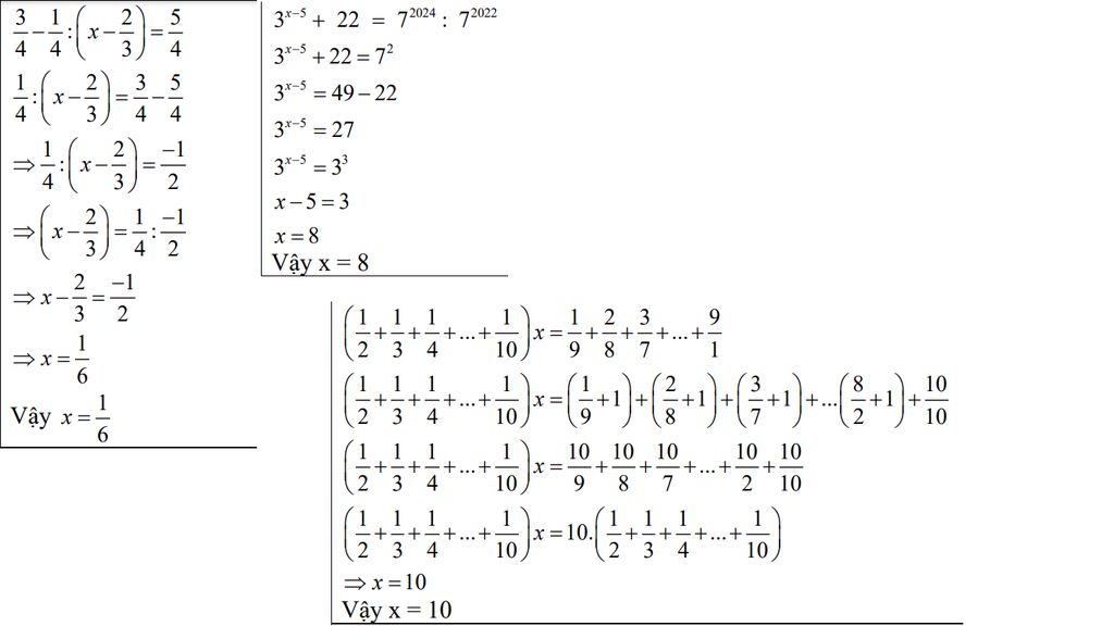
`3/4 - 1/4 : (x-2/3) = 5/4`
`1/4 : (x-2/3) = -1/2`
`x-2/3 = 1/4 : -1/2`
`x - 2/3 = -1/2`
`x = -1/2 + 2/3`
`x = 1/6`
`3^{x-5} + 22 = 7^{2024}:7^{2022}`
`3^{x-5} + 22 = 7^{2} = 49`
`3^{x-5} = 27`
`3^{x-5} = 3^3`
`x - 5 = 3`
`x = 8`
`(1/2 + 1/3 + 1/4 + .. + 1/10) x = 1/9 + 2/8 + 3/7 + ... + 9/1`
`(1/2 + 1/3 + 1/4 + .. + 1/10) x = (1/9 + 1) + (2/8 + 1) + (3/7 + 1) + ... + (8/2 + 1) + 1`
`(1/2 + 1/3 + 1/4 + .. + 1/10) x = 10/9 + 10/8 + 10/7 + ... + 10/2 + 10/10`
`(1/2 + 1/3 + 1/4 + .. + 1/10) x = 10 . (1/9 + 1/8 + 1/7 + ... + 1/2 + 1/10)`
`=> x = 10`
$@Thwantobethebest$
Hãy giúp mọi người biết câu trả lời này thế nào?
Bảng tin
1740
10242
1264
đỉnh quá bác ơi :>
286
1560
195
vài ngày sau thấy bác này trên bản tin page vì tội danh buff:D