

Hãy luôn nhớ cảm ơn và vote 5*
nếu câu trả lời hữu ích nhé!
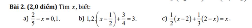
`a)\ 2/5 - x = 0,1`
`2/5 - x = 1/10`
`x = 2/5 - 1/10`
`x = 4/10 - 1/10`
`x = 3/10`
Vậy `x = 3/10`
``
`b)\ 1,2.(x-1/2)+3/4=3`
`6/5 . ( x - 1/2) = 3-3/4`
`6/5 . ( x - 1/2) = 12/4 - 3/4`
`6/5 . ( x - 1/2 ) = 9/4`
`x - 1/2 = 9/4 : 6/5`
`x - 1/2 = 9/4 . 5/6`
`x - 1/2 = 15/8`
`x = 15/8 + 1/2`
`x = 15/8 + 4/8`
`x = 19/8`
Vậy `x = 19/8`
``
`c)\ 1/2 . ( x - 2 ) + 1/3 ( 2 - x ) = x`
`1/2x - 1 + 2/3 - 1/3x=x`
`1/2x-1/3x-x=-2/3+1`
`3/6x-2/6x-6/6x=-2/3+3/3`
`(3-2-6)/6 x=1/3`
`(-5/6)x=1/3`
`x = 1/3 : (-5/6)`
`x = 1/3 . (-6/5)`
`x = -2/5`
Vậy `x = -2/5`
Hãy giúp mọi người biết câu trả lời này thế nào?
Đáp án + Giải thích các bước giải:
`a) 2/5 - x = 0,1`
`<=> 2/5 - x = 1/10`
`<=> -x = 1/10 - 2/5`
`<=> -x = 1/10 - 4/10`
`<=> -x = (1 - 4)/10`
`<=> -x = (-3)/10`
`<=> -x · (-1) = (-3)/10 · (-1)`
`<=> x = 3/10`
Vậy `x = 3/10`
___________________________________
`b) 1,2 · (x - 1/2) + 3/4 = 3`
`<=> 6/5 · (x - 1/2) = 3 - 3/4`
`<=> 6/5 · (x - 1/2) = 12/4 - 3/4`
`<=> 6/5 · (x - 1/2) = (12 - 3)/4`
`<=> 6/5 · (x - 1/2) = 9/4`
`<=> x - 1/2 = 9/4 ÷ 6/5`
`<=> x - 1/2 = 9/4 · 5/6`
`<=> x - 1/2 = 15/8`
`<=> x = 15/8 + 1/2`
`<=> x = 15/8 + 4/8`
`<=> x = (15 + 4)/8`
`<=> x = 19/8`
Vậy `x = 19/8`
___________________________________
`c) 1/2 · (x - 2) + 1/3 · (2 - x) = x`
`<=> 1/2 · (x - 2) - 1/3 · (x - 2) = x`
`<=> (x - 2)(1/2 - 1/3) = x`
`<=> (x - 2)(3/6 - 2/6) = x`
`<=> (x - 2) · (3 - 2)/6 = x`
`<=> (x - 2) · 1/6 = x`
`<=> x - 2 = x ÷ 1/6`
`<=> x - 2 = x · 6`
`<=> 6x = x - 2`
`<=> 6x - x = -2`
`<=> 5x = -2`
`<=> x = (-2)/5`
Vậy `x = (-2)/5`
~MioWiky~
Hãy giúp mọi người biết câu trả lời này thế nào?
Bảng tin
