Đăng nhập để hỏi chi tiết


Hãy luôn nhớ cảm ơn và vote 5*
nếu câu trả lời hữu ích nhé!

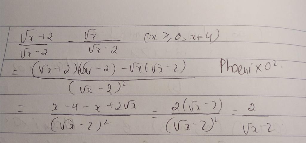
Đáp án: $\dfrac{2}{{\sqrt x - 2}}$
Giải thích các bước giải:
$\begin{array}{l}
Dkxd:x \ge 0;x \ne 4\\
\dfrac{{\sqrt x + 2}}{{\sqrt x - 2}} - \dfrac{{\sqrt x }}{{\sqrt x - 2}}\\
= \dfrac{{\sqrt x + 2 - \sqrt x }}{{\sqrt x - 2}}\\
= \dfrac{2}{{\sqrt x - 2}}
\end{array}$
Hãy giúp mọi người biết câu trả lời này thế nào?
Bảng tin