

Hãy luôn nhớ cảm ơn và vote 5*
nếu câu trả lời hữu ích nhé!
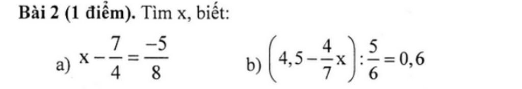
Đáp án`+` Giải thích các bước giải:
`2.`
`a) x - 7/4 = (-5)/8`
` x = (-5)/8 + 7/4`
`x = 9/8`
`b) (4,5 - 4/7x) : 5/6 = 0,6`
`(9/2 - 4/7x) . (6)/5 = 3/5`
`27/5 - 24/35 x = 3/5`
`(-24)/35x = 3/5 - 27/5`
`(-24)/35x = (-24)/5`
`x =(-24)/ 5 : (-24)/35`
`x = 7`
Hãy giúp mọi người biết câu trả lời này thế nào?
`a) x - 7/4 = (-5)/8`
`` `x = (-5)/8 + 7/4`
`` `x = 9/8`
Vậy `x = 9/8`
`b) ( 4,5 - 4/7 x ) : 5/6 = 0.6`
`( 4,5 - 4/7 x )= 0,6 . 5/6`
`4,5 - 4/7 x = 1/2`
`` `4/7 x = 4,5 - 1/2`
`` `4/7 x = 4`
`` `x = 4 : 4/7`
`` `x = 7`
Vậy `x = 7`
Hãy giúp mọi người biết câu trả lời này thế nào?
Bảng tin
