

Hãy luôn nhớ cảm ơn và vote 5*
nếu câu trả lời hữu ích nhé!
Đây là câu trả lời đã được xác thực
Câu trả lời được xác thực chứa thông tin chính xác và đáng tin cậy, được xác nhận hoặc trả lời bởi các chuyên gia, giáo viên hàng đầu của chúng tôi.
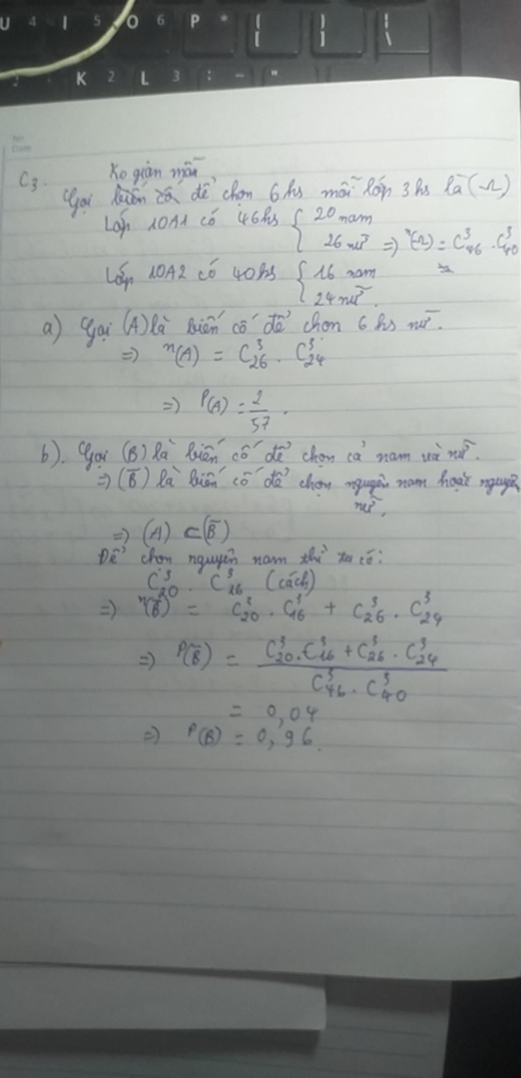
a)
số cách chọn 3 học sinh bất kì từ 20 học sinh nam và 26 học sinh nữ của lớp 10A là: `C_46^3`
số cách chọn 3 học sinh bất kì từ 16 học sinh nam và 24 học sinh nữ của lớp 10B là: `C_40^3`
theo quy tắc nhân ta có `C_46^3 .C_40^3` cách chọn 3 học sinh của lớp 10A và 3 học sinh của lớp 10B
`=>n(Ω)=C_46^3 .C_40^3`
gọi `A` là biến cố: " 6 học sinh được chọn đều là nữ "
số cách chọn 6 học sinh nữ trong đó có 3 học sinh từ 26 học sinh nữ lớp 10A và 3 học sinh từ 24 học sinh nữ lớp 10B là: `C_26^3 .C_24^3`
`=>n(A)=5262400`
vậy xác suất của biến cố `A` là: `P(A)=(n(A))/(n(Ω))=(5262400)/(C_46^3 .C_40^3)≈0,035`
b)
gọi `B` là biến cố: " 6 học sinh được chọn có cả học sinh nam và học sinh nữ "
`=>` biến cố $\overline{B}$: " 6 học sinh được chọn đều là học sinh nam hoặc đều là học sinh nữ"
số cách chọn 6 học sinh nam trong đó có 3 học sinh từ 20 học sinh nam của lớp 10A và 3 học sinh từ 16 học sinh nam của lớp 10B là: `C_20^3 . C_16^3`
theo quy tắc cộng ta có `C_20^3 . C_16^3 + C_26^3 .C_24^3` cách chọn 6 học sinh đều là nam hoặc đề là nữ
`=> n(`$\overline{B})$`=C_20^3 . C_16^3 + C_26^3 .C_24^3`
vậy xác suất của biến cố $\overline{B}$ là:
`P(`$\overline{B})$`=(C_20^3 . C_16^3 + C_26^3 .C_24^3)/(C_46^3 .C_40^3)≈0,039`
vậy xác suất của biến cố `B` là:` P(B)=1-` `P(`$\overline{B})$`= 1-0,039=0,961`
Hãy giúp mọi người biết câu trả lời này thế nào?
Bảng tin
28
764
17
Chị ơi sai rồi
28
764
17
Chọn mỗi lớp 3 học sinh chứ có phải chọn 6 học sinh từ 2 lớp đâu ạ
1452
45491
1884
C cảm ơn nhé, để c báo ad gỡ xác thực
28
764
17
có lỗi quá lm chị mất xth=((