Vui lòng chỉ chọn một câu hỏi
Hoidap247.com Nhanh chóng, chính xác
+
Danh mục mới
325
5213
228
Hãy luôn nhớ cảm ơn và vote 5* nếu câu trả lời hữu ích nhé!
4
90
2
Đây là câu trả lời đã được xác thực
Câu trả lời được xác thực chứa thông tin chính xác và đáng tin cậy, được xác nhận hoặc trả lời bởi các chuyên gia, giáo viên hàng đầu của chúng tôi.
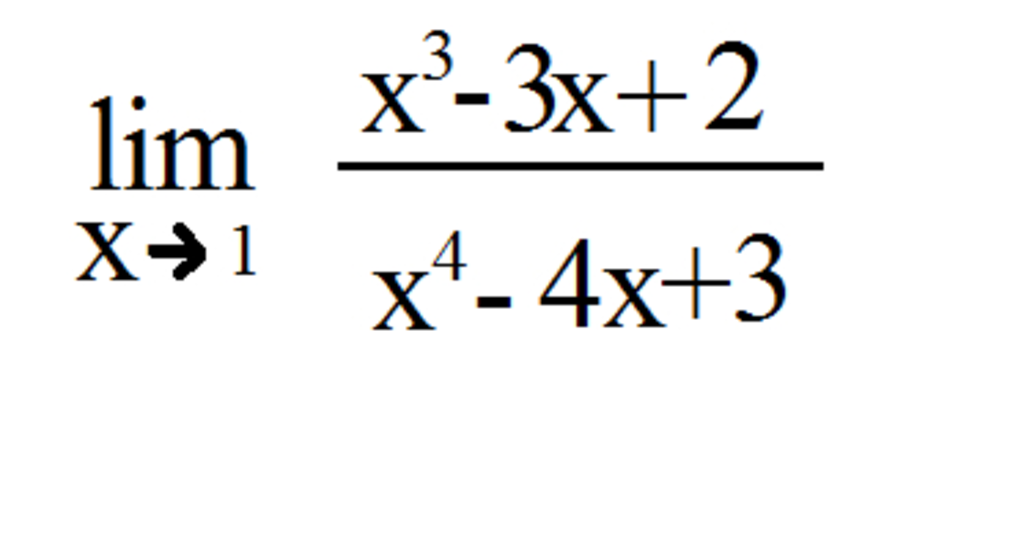
Đáp án:
Giải thích các bước giải:
Hãy giúp mọi người biết câu trả lời này thế nào?
làm sao bạn tách được mà pt bậc 3 ở trên và bậc 4 ở dưới có dc điểm chung vậy ạ
Bảng tin
Gửi yêu cầu Hủy
325
5213
228
làm sao bạn tách được mà pt bậc 3 ở trên và bậc 4 ở dưới có dc điểm chung vậy ạ