

Hãy luôn nhớ cảm ơn và vote 5*
nếu câu trả lời hữu ích nhé!
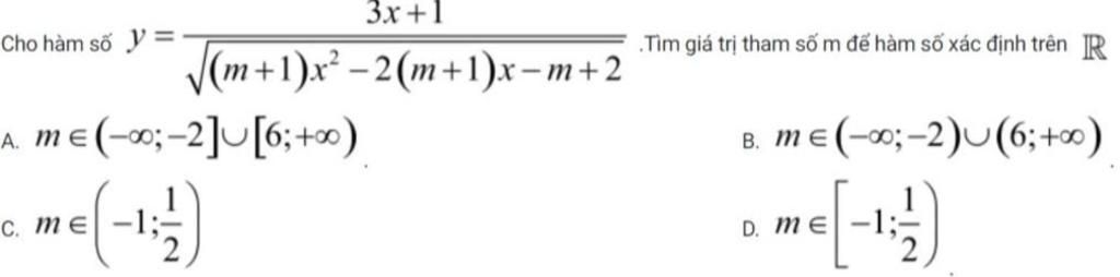
Đáp án + Giải thích các bước giải:
`ĐKXĐ:(m+1)x^2-2(m+1)x-m+2>0`
`TH1:m+1=0⇔m=-1`
Khi đó bất phương trình trở thành: `3>0` (luôn đúng)
`⇒m=-1` thỏa mãn để hàm số xác định trên `RR`
`TH2:m\ne-1`
Có `Δ=[-2(m+1)]^2-4(m+1)(-m+2)`
`=4(m+1)^2-4(-m^2-m+2m+2)`
`=4(m^2+2m+1)-4(-m^2+m+2)`
`=4m^2+8m+4+4m^2-4m-8`
`=8m^2+4m-4`
Có `Δ=0⇔`\(\left[ \begin{array}{l}m=-1\\m=\dfrac{1}{2}\end{array} \right.\)
Lập bảng xét dấu:
\begin{array}{|c|cc|} \hline m&-\infty&&-1&&\dfrac{1}{2}&&+\infty\\\hline \Delta&&+&0&-&0&+&\\\hline \end{array}
`⇒Δ<0⇔-1<m<1/2`
Để bất phương trình đúng với mọi `x\inRR`
`⇒{(a>0),(Δ<0):}⇔`$\begin{cases} m>-1\\-1<m<\dfrac{1}{2} \end{cases}$
`⇒-1<m<1/2`
Kết hợp, để hàm số xác định trên `RR`
`⇒-1<=m<1/2⇒m\in[-1;1/2)⇒D`
`#Pô`
Hãy giúp mọi người biết câu trả lời này thế nào?
![]()
Đáp án :
`D`
Giải thích các bước giải :
Hàm số đã cho xác định khi và chỉ khi :
`(m+1)x^2-2(m+1)x-m+2>0`
TH1 : `m+1=0<=>m=-1`
`=>(-1+1)x^2-2(-1+1)x-(-1)+2>0`
`<=>3>0` (Đúng)
TH2 :`m+1\ne0<=>m\ne-1`
ycbt`<=>(m+1)x^2-2(m+1)x-m+2>0AAx\inRR<=>`$\begin{cases} a>0\\\Delta'<0 \end{cases}$
`<=>`$\begin{cases} m+1>0\\ [-(m+1)]^2-(m+1)(-m+2)<0 \end{cases}$
`<=>`$\begin{cases} m>-1\\ 2m^2+m-1<0 \end{cases}$
`<=>`$\begin{cases} m>-1\\ -1<m<\dfrac{1}{2} \end{cases}$
Kết hợp cả hai trường hợp `=>-1<=m<1/2` hay `m\in[-1;1/2)`
Hãy giúp mọi người biết câu trả lời này thế nào?
![]()
Bảng tin