

Hãy luôn nhớ cảm ơn và vote 5*
nếu câu trả lời hữu ích nhé!
Đáp án + Giải thích các bước giải:
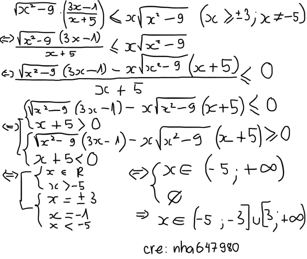
`\qquad \sqrt{x^2-9}. {3x-1}/{x+5}\le x\sqrt{x^2-9}` `(1)`
$ĐKXĐ:$
$\quad \begin{cases}x^2-9\ge 0\\x+5\ne 0\end{cases}$
`<=>`$\left\{\begin{matrix}\left[\begin{array}{l}x\ge 3\\x\le -3\end{array}\right.\\x\ne -5\end{matrix}\right.$
`(1)<=>\sqrt{x^2-9} . ({3x-1}/{x+5}-x)\le 0`
`<=>\sqrt{x^2-9}. {3x-1-x(x+5)}/{x+5}\le 0`
`<=>\sqrt{x^2-9} . {-(x^2+2x+1)}/{x+5}\le 0`
`<=>\sqrt{x^2-9} . {-(x+1)^2}/{x+5}\le 0`
`<=>\sqrt{x^2-9} {(x+1)^2}/{x+5}\ge 0`
+) `TH1: \sqrt{x^2-9}=0`
`<=>x^2-9=0`
`<=>x=±3` (thỏa mãn)
$\\$
+) `TH2:(x+1)^2=0<=>x=-1` (không thỏa mãn)
$\\$
+) `TH3:`$\begin{cases}\sqrt{x^2-9}>0\\\dfrac{(x+1)^2}{x+5}\ge 0\end{cases}$
`<=>`$\left\{\begin{matrix}\left[\begin{array}{l}x> 3\\x< -3\end{array}\right.\\x+5>0\ (vì \ (x+1)^2\ge 0\ với\ x\ thỏa\ mãn đk) \end{matrix}\right.$
`<=>`$\left\{\begin{matrix}\left[\begin{array}{l}x> 3\\x< -3\end{array}\right.\\x> -5\end{matrix}\right.$
`=>` $\left[\begin{array}{l}x>3\\-5<x< -3\end{array}\right.$
$\\$
`=>` Bất phương trình có tập nghiệm:
`S=(-5;-3]∪[3;+∞)`
`#Pô`
Hãy giúp mọi người biết câu trả lời này thế nào?
![]()
Bảng tin