Đăng nhập để hỏi chi tiết


Hãy luôn nhớ cảm ơn và vote 5*
nếu câu trả lời hữu ích nhé!
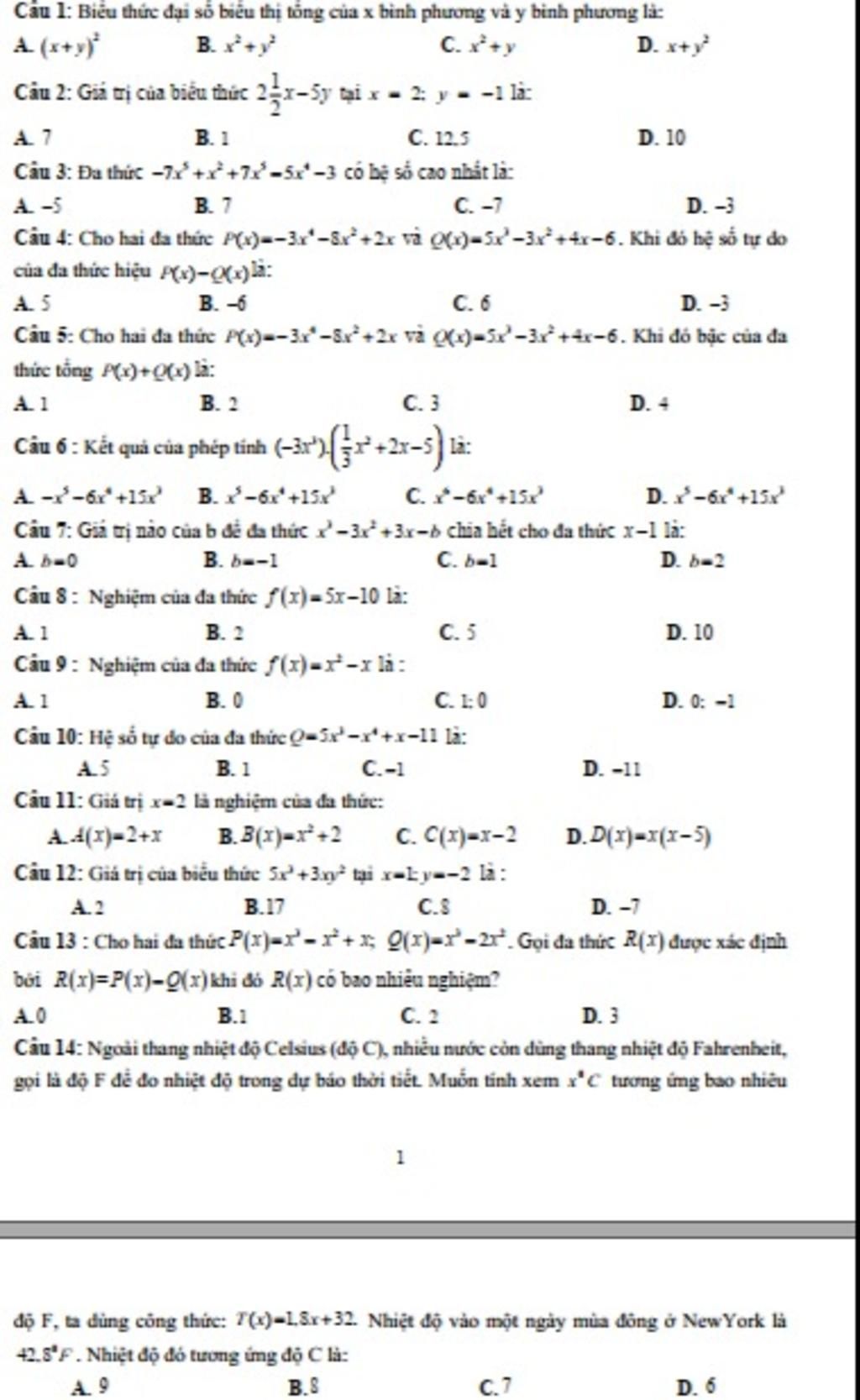
Câu 1B câu 2A
câu 3C câu 4D
câu 5D câu 6D
câu 7B câu 8A
câu 9 B câu 10 B
câu 11c câu 12c
câu 13D câu 14b
Hãy giúp mọi người biết câu trả lời này thế nào?
Bảng tin