Đăng nhập để hỏi chi tiết


Hãy luôn nhớ cảm ơn và vote 5*
nếu câu trả lời hữu ích nhé!
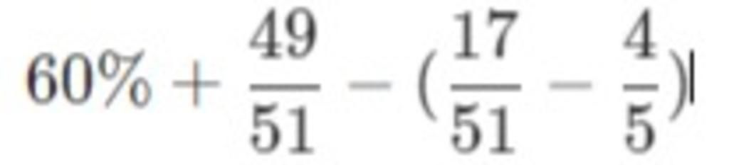
Đáp án:517/255
Giải thích các bước giải:
=60/100+49/51-17/51+4/5
=3/5+4/5+32/51
=7/5+32/51
=517/255
(khả năng cao chưa tối giản)
Hãy giúp mọi người biết câu trả lời này thế nào?

Bảng tin
81
1756
195
Ủa seo chụp ảnh đc zị📸
3474
47225
4139
What =)), chị sắp lên 30k điểm
3474
47225
4139
Nhanh v
3474
47225
4139
Em đg ôn thi tận 9/5 mới xong