Đăng nhập để hỏi chi tiết


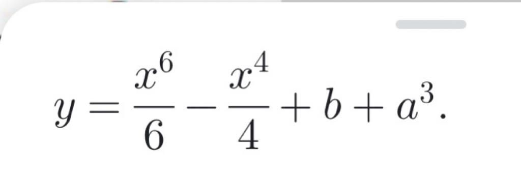
Tìm đạo hàm a,b là hằng số
Hãy luôn nhớ cảm ơn và vote 5*
nếu câu trả lời hữu ích nhé!
`y'=(x^6/6)'-(x^4/4)'+b'+(a^3)'.`
`=(6.(x^6)'-x^6.cc6')/6^2-(4'.x^4-(x^4)'.4)/4^2+0+0.`
`=(6^2.x^5)/6^2-(4^2.x^3)/4^4=x^5-x^3.`
xin hay nhất ạ
Hãy giúp mọi người biết câu trả lời này thế nào?
Bảng tin
0
25
0
Có cách giải chi tiết k bạn
422
14948
639
Ngắn như này thôi á bạn
0
25
0
À oke