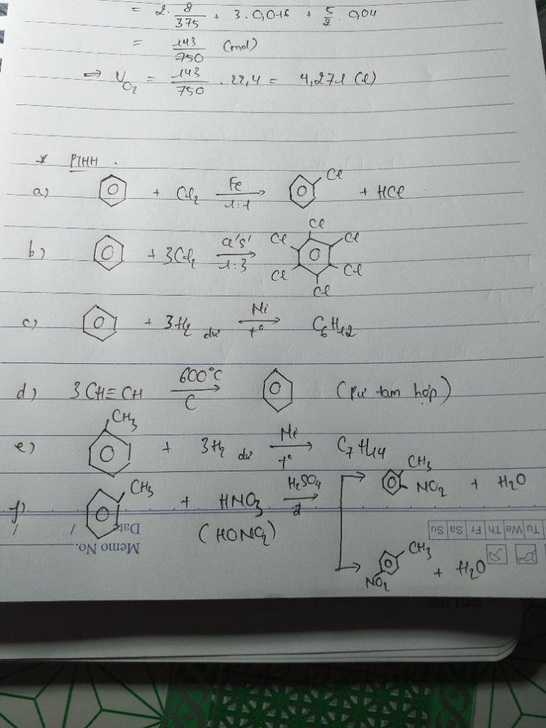
Hoàn thành các phương trình hóa học dưới đây. Gọi tên sản phẩm.
a/ benzen + Cl 2 xúc tác bột Fe, tỉ lệ mol 1:1.
b/ benzen + Cl 2 xúc tác ánh sáng , tỉ lệ mol 1:3.
c/ benzen + H 2 dư , xúc tác Ni, t độ
d/ điều chế benzen từ axetilen
e/ toluen + H 2 dư xúc tác Ni, 300 độ C
f/ toluen + lượng dư HNO3 đặc/ H2SO4 đặc.