

Hãy luôn nhớ cảm ơn và vote 5*
nếu câu trả lời hữu ích nhé!
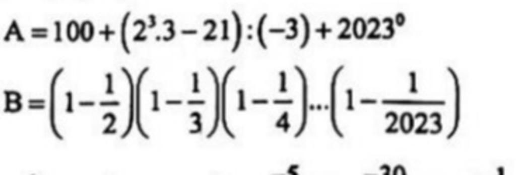
`A=100+ (2^3. 3-21):(-3)+ 2023^0`
`⇒A= 100- (8.3- 21): 3+1`
`⇒A= 101+ (24-21):3`
`⇒A= 101+ 3:3`
`⇒A= 101+ 1`
`⇒A=102`
Vậy, `A=102`
______________________________________________________
`B=(1- 1/2)(1- 1/3)(1- 1/4)...(1- 1/2023)`
`⇒B=(2/2- 1/2)(3/3- 1/3)( 4/4- 1/4)...(2023/2023- 1/2023)`
`⇒B= 1/2. 2/3. 3/4... 2022/2023`
`⇒B= (1.2.3...2022)/(2.3.4...2023)`
`⇒B= 1/2023`
Vậy, `B=1/2023`
`~` $kiddd$ `~`
Hãy giúp mọi người biết câu trả lời này thế nào?

`A = 100 + (2^3 . 3 - 21) : ( -3 ) + 2023^0`
`A = 100 + (8 . 3 - 21) : ( -3 ) + 2023^0`
`A = 100 + (24 - 21) : ( -3 ) + 2023^0`
`A = 100 + 3 : ( -3) + 2023^0`
`A = 100 + ( -1 ) + 1`
`A = 100`
Vậy `100`
______________________________________________________________
`B = (1 - 1/2) . (1 - 1/3) . (1 - 1/4) . ... . (1 - 1/2023)`
`B = 1/2 . 2/3 . 3/4 . ... . 2022/2023`
`B = (1 . 2 . 3 . ... . 2022)/(2 . 3 . 4 . ... . 2023)`
`B = 1/2023
Vậy `B = 1/2023`
`@V`
Hãy giúp mọi người biết câu trả lời này thế nào?

Bảng tin