Đăng nhập để hỏi chi tiết


Hãy luôn nhớ cảm ơn và vote 5*
nếu câu trả lời hữu ích nhé!

Đây là câu trả lời đã được xác thực
Câu trả lời được xác thực chứa thông tin chính xác và đáng tin cậy, được xác nhận hoặc trả lời bởi các chuyên gia, giáo viên hàng đầu của chúng tôi.
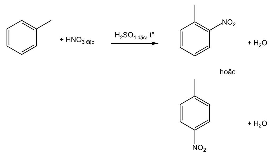
Đáp án:
Hãy giúp mọi người biết câu trả lời này thế nào?
Phương trình phản ứng giữa toluen (C7H8) và hỗn hợp HNO3 đặc, H2SO4 đặc (tỉ lệ 1:1) là:
C7H8 + HNO3 + H2SO4 → C7H7NO2 + H2O + H2SO4
Hãy giúp mọi người biết câu trả lời này thế nào?
Bảng tin
3814
61097
6203
🤩😁😀😕🙂😐🙁😟😅😓😥😭