Đăng nhập để hỏi chi tiết


Hãy luôn nhớ cảm ơn và vote 5*
nếu câu trả lời hữu ích nhé!
Đáp án + Giải thích các bước giải:
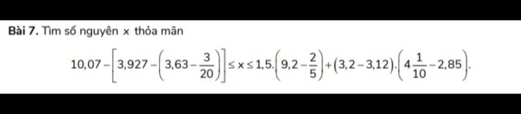
`10,07-[3,927-(3,63-3/20)]≤x≤1,5.(9,2-2/5)+(3,2-3,12).(4(1)/10-2,85)`
⇔ `10,07-[3,927-(3,63-0,15)]≤x≤1,5.(9,2-0,4)+(3,2-3,12).(4,1-2,85)`
⇔ `10,07-(3,927-3,48)≤x≤1,5.8,8+0,08.1,25`
⇔ `10,07-0,447≤x≤13,2+0,1`
⇔ `9,623≤x≤13,3`
Vì `x∈Z` → `x∈{10;11;12;13}`
Vậy `x∈{10;11;12;13}`
Hãy giúp mọi người biết câu trả lời này thế nào?

Bảng tin