Đăng nhập để hỏi chi tiết


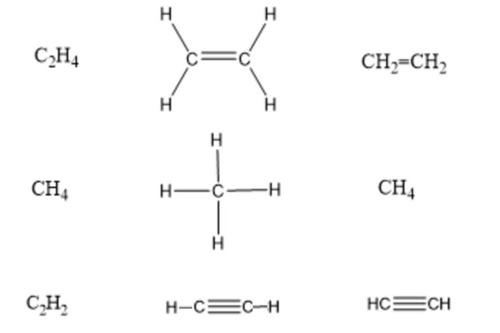
Hãy viết công thức cấu tạo đầy đủ và thu gọn của các chất có công thức phân tử sau CH4,C2H4,C2H2
Hãy luôn nhớ cảm ơn và vote 5*
nếu câu trả lời hữu ích nhé!
Công thức cấu tạo đầy đủ và thu gọn của CH4,C2H4,C2H2:
Hãy giúp mọi người biết câu trả lời này thế nào?
Bảng tin