

Hãy luôn nhớ cảm ơn và vote 5*
nếu câu trả lời hữu ích nhé!
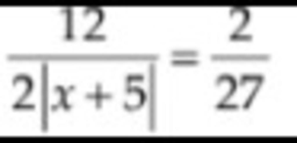
`12/( 2|x+5| )= 2/27`
`⇒2|x+5| .2= 12.27`
`⇒ |x+5|= (12.27)/(2.2)`
`⇒ |x+5|=81`
`⇒` $\left[\begin{matrix} x+5=81\\ x+5=-81\end{matrix}\right.$
`⇒` $\left[\begin{matrix} x=81-5\\ x=-81-5\end{matrix}\right.$
`⇒` $\left[\begin{matrix} x=76\\ x=-86\end{matrix}\right.$
`Vậy,` `x∈{76;-86}`
`~` $kiddd$ `~`
Hãy giúp mọi người biết câu trả lời này thế nào?
![]()
Đáp án + Giải thích các bước giải:
2|x+5|=12 :2/27
=>2|x+5|=162
=>|x+5|=162:2
=>|x+5|=81
TH1: x+5=81
=>x=81-5
=>x=76(TM)
TH2:x+5=-81
=>x=-81-5
=>x=-86(TM)
Vậy x E { -86;76}
@iamthuhuongggg08
#hoidap247
Chúc bạn học tốt :)))
Hãy giúp mọi người biết câu trả lời này thế nào?
![]()
Bảng tin
0
0
0
mình cảm ơn nhiều ạ
10401
768
12379
dạ kcj
920
25590
483
81-5=84 :)))
10401
768
12379
hihi lũi lũi