Tham Gia Group Dành Cho Lớp 9 - Ôn Thi Vào Lớp 10 Miễn Phí
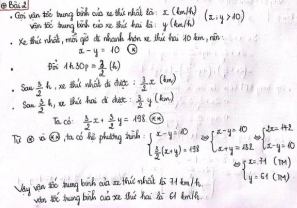
Bài 2 (2,0 điểm) Giải toán bằng cách lập phương trình hoặc hệ phương trình
Trên quãng đường Hà Nội – Quảng Ninh dài 198 km, có hai ô tô đi ngược chiều
nhau. Xe thứ nhất xuất phát từ Hà Nội đi Quảng Ninh, xe thứ hai xuất phát từ Quảng
Ninh về Hà Nội. Hai xe khởi hành cùng một lúc và sau ...
5
592
5
ủa
5
592
5
sao ko kí tên v
129
5067
84
bru :/
5
592
5
..?