Vui lòng chỉ chọn một câu hỏi
Hoidap247.com Nhanh chóng, chính xác
+
Danh mục mới
0
1031
Hãy luôn nhớ cảm ơn và vote 5* nếu câu trả lời hữu ích nhé!
4
95
1
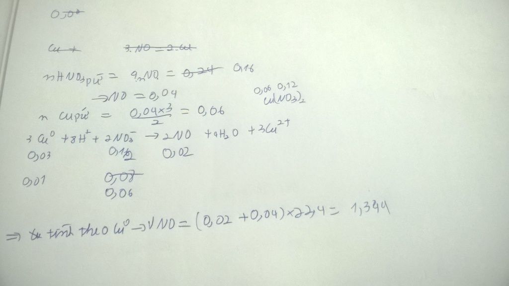
Đáp án: 1,344
Giải thích các bước giải:
Hãy giúp mọi người biết câu trả lời này thế nào?
80
936
46
Đáp án: câu d
Giải thích các bước giải: ok
Bảng tin
Gửi yêu cầu Hủy