Tham Gia Group Dành Cho Lớp 9 - Ôn Thi Vào Lớp 10 Miễn Phí
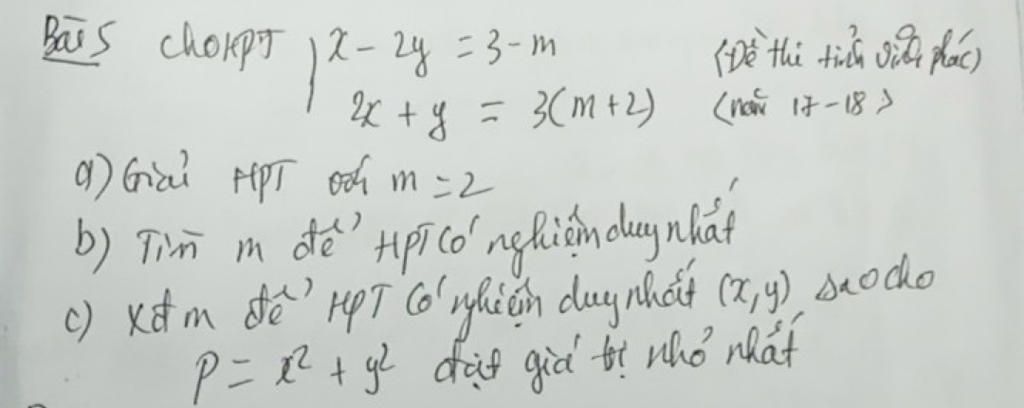
Bais chokPT 1X- 2y = 3-m
1²=
(Đề thi tiểu việc pháo
2x+y = 3(m+²) (now 17-18)
a) Gian HPT of m=2
b) Tìm m để HP có nghiệm duy nhất
c) xem để MPT có nghiệm duy nhất (x,y) sao cho
Petỷ đặt giá trị nhỏ nhất
7954
62
6034
cho em vaào nhsom được ko ạ?
2893
36989
2471
Vâng ạ bạn gửi lời mời đi