

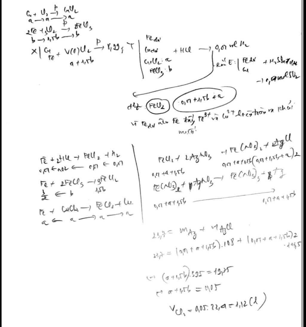
2. Cho hỗn hợp X gồm Cu và Fe tác dụng với V lít khí Cl2 (đun nóng) thu được 8, 99 gam hỗn hợp chất rắn Y gồm Fe, Cu, CuCl2 và FeCl3 Cho Y vào dung dịch HCl thu được 0, 1 mol khí H2 dung dịch Z và chất rắn E gồm hai kim loại. Hòa tan toàn bộ E trong dung dịch H2SO4 đặc, nóng, dư thu được 0,04 mol SO2 Cho dung dịch AgNO3 dư vào Z thu được 23,7 gam kết tủa. Biết các phản ứng xảy ra hoàn toàn.
Mng giải chi tiết giúp mình vớiiiii
Hãy luôn nhớ cảm ơn và vote 5*
nếu câu trả lời hữu ích nhé!
Đáp án: V= 1,12l mFe= 4,032g mCu=1,408g
Giải thích các bước giải:
PTHH:
1)Cu+Cl2→CuCl2
2)2Fe+3Cl2→2FeCl3
3)Fe+2HCl→FeCl2+H2↑
4)Fe+2FeCl3→3FeCl2
5)Fe+CuCl2 →FeCl2+Cu
vì trong E gồm 2 kim loại =>Fe dư đẩy Cu khỏi Z
⇒Z chỉ gồm FeCl2
-Hòa tan E trong H2SO4 đặc nóng:
6)2Fe+6H2SO4→Fe2(SO4)3+6H2O+3SO2↑
7)Cu+2H2SO4→CuSO4+2H2O+SO2↑
-Cho AgNO3 dư vào Z:
8)2AgNO3+FeCl2→Fe(NO3)2+2AgCl↓
9)AgNO3+Fe(NO3)2→Fe(NO3)3+Ag↓
-Gọi số mol Fe ban đầu là a(mol)
-Gọi số mol Cu ban đầu là b(mol)
-Gọi số mol Cl2 phản ứng với X là c(mol)
-Gọi số mol Ag kết tủa là d(mol)(a,b,c,d>0)
-Theo bài ra:mY=56a+64b+2×35,5c=8,99g(i)
Theo 3) ta có nHCl=2nH2=0,01×2=0,02(mol)
-Bảo toàn nguyên tố Cl ta có 2nFeCl2=nAgCl=nCl=2nCl2bđ+2nHCl=2c+0,02(mol)
Theo 8) và 9) ta có nFeCl2=nFe(NO3)2=nAg↓=d(mol)
từ trên ta có nFeCl2=d=c+0,01(mol)(ii)
và mAgCl↓+mAg↓=143,5(2c+0,02)+108d=23,7(iii)
-Bảo toàn nguyên tố Fe ta có nFe(E)=nFebđ-nFe$_{FeCl2}$ =a-d(mol)
-Bảo toàn nguyên tố Cu ta có nCu(E)=nCubđ=b(mol)
-Bảo toàn nguyên tố S ta có nS$_{SO2}$ =0,04
+Cho E gồm Fe và Cu vào H2SO4 đặc nóng thu được 0,04 mol SO2 ta có:
$Fe^{0}$ -3e →$Fe^{+3}$
(a-d)→3(a-d)
$Cu^{0}$ -2e →$Cu^{+2}$
b→2b
$S^{+6}$ +2e →$S^{+4}$
0,08←0,04
-Theo định luật bảo toàn electron:
e cho= e nhận
⇔3(a-d)+2b=0,08(iv)
từ (i)(ii)(iii) và (iv) ta có hệ phương trình
$\begin{cases} 56a+64b+2×35,5c=8,99\\d=c+0,01\\143,5(2c+0,02)+108d=23,7\\3(a-d)+2b=0,08 \end{cases}$
⇔$\begin{cases} 56a+64b+71c=8,99\\-c+d=0,01\\287c+108d=20,83\\3a+2b-3d=0,08 \end{cases}$
Giải ra ta được:
$\begin{cases} a=0,072(mol)\\b=0,022(mol)\\c=0,05(mol)\\d=0,06(mol) \end{cases}$
⇒$\begin{cases} nFe(X)=0,072(mol)\\nCu(X)=0,022(mol)\\nCl2=0,05(mol)\end{cases}$ ⇔$\begin{cases} mFe=4,032(g)\\mCu=1,408(g)\\VCl2=1,12(l)\end{cases}$
Hãy giúp mọi người biết câu trả lời này thế nào?
Đáp án:
Giải thích các bước giải:
xem ảnh kèm theo.
Hãy giúp mọi người biết câu trả lời này thế nào?
Bảng tin
1
227
1
vote 5 sao nhá=)
49
2133
36
Hong =)))
0
50
0
mình hỏi xíu là tại sao từ E gồm 2 kim loại lại khẳng định Z chỉ có FeCl2 vậy ạ? còn CuCl2 đi đâu rồi í ;-;
1
227
1
@vkiubeomgyuu Fe đẩy Cu khỏi Z nhé, CuCl2 do Fe dư nên bị đẩy ra