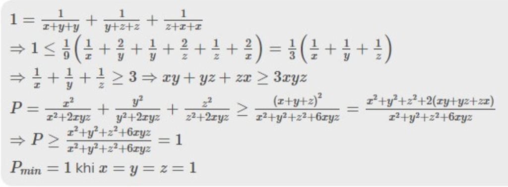
1
1=
1
y+z+z
x+y+y
z+x+z
⇒ ¹ ≤ } ( ↓ + ² + + + ² + ² + ² ) = } ( + + + + + )
У
⇒ ² + ¹ + ¹ ≥ 3 ⇒ xy + yz + zx ≥ 3xyz
P =
+
>
⇒P>
= 1
Pmin = 1 khi c=g=2=1
r²+2xyz
y²
22
y²+2xyz z²+2xyz
r²+y²+z²+6xyz
z²+y²+z²+6zyz
(x+y+z)²
r²+y²+z²+6ryz
r²+y²+z²+2(ry+yz+zx)
z²+y²+z²+бxyz