

Hãy luôn nhớ cảm ơn và vote 5*
nếu câu trả lời hữu ích nhé!
Đáp án+Giải thích các bước giải:
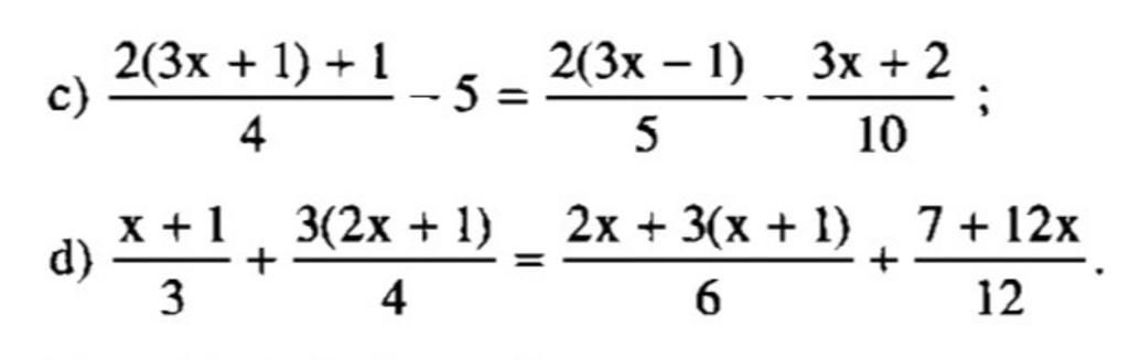
`c)`
`(2(3x+1)+1)/4-5=(2(3x-1))/5-(3x+2)/10`
`<=>` `(6x+2+1)/4-5=(6x-2)/5-(3x+2)/10`
`<=>` `(5(6x+3))/20-(5.20)/20=(4(6x-2))/20-(2(3x+2))/10`
`=>` `5(6x+3)-100=4(6x-2)-2(3x+2)`
`<=>` `30x+15-100=24x-8-6x-4`
`<=>` `30x-24x+6x=-8-4-15+100`
`<=>` `12x=73`
`<=>` `x=73/12`
Vậy `S={73/12}`
`d)`
`(x+1)/3+(3(2x+1))/4=(2x+3(x+1))/6+(7+12x)/12`
`<=>` `(x+1)/3+(6x+3)/4=(2x+3x+3)/6+(7+12x)/12`
`<=>` `(4(x+1))/12+(3(6x+3))/12=(2(5x+3))/12+(7+12x)/12`
`=>` `4(x+1)+3(6x+3)=2(5x+3)+7+12x`
`<=>` `4x+4+18x+9=10x+6+7+12x`
`<=>` `4x+18x-10x-12x=6+7-4-9`
`<=>` `0x=0` (luôn đúng)
Vậy phương trình có vô số nghiệm
$#NTT$
Hãy giúp mọi người biết câu trả lời này thế nào?

`a,(2.(3x+1)+1)/4-5=(2.(3x-1))/5-(3x+2)/10`
`=>(6x+3)/4-5=(6x-2)/5-(3x+2)/10`
`=>(5(6x+3))/20-100/20=(4(6x-2))/20-(2(3x+2))/20`
`=>30x+15-100=24x-8-6x-4`
`=>30x-24x+6x=-8-4-15+100`
`=>12x=73`
`=>x=73/12`
Vậy `x=73/12`
`b,(x+1)/3+(3(2x+1))/4=(2x+3(x+1))/6+(7+12x)/12`
`=>(x+1)/3+(6x+3)/4=(5x+3)/6+(7+12x)/12`
`=>(4(x+1))/12+(3(6x+3))/12=(2(5x+3))/12+(7+12x)/12`
`=>4x+4+18x+9=10x+6+7+12x`
`=>4x+18x-10x-12x=6+7-4-9`
`=>0=0` (lđ)
Vậy phương trình có vô số nghiệm.
Hãy giúp mọi người biết câu trả lời này thế nào?

Bảng tin