

Hãy luôn nhớ cảm ơn và vote 5*
nếu câu trả lời hữu ích nhé!
$\text{a)(2x-7)²-(4x+5).(7-2x)=0}$
$\text{$\Rightarrow$(7-2x)²-(4x+5).(7-2x)=0}$
$\text{$\Rightarrow$ (7-2x).(7-2x-4x-5)=0}$
$\text{$\Rightarrow$ (7-2x).(2-6x)=0}$
$\text{$\Rightarrow$ \(\left[ \begin{array}{l}7-2x=0\\2-6x=0\end{array} \right.\) }$
$\text{$\Rightarrow$ \(\left[ \begin{array}{l}x=7/2\\x=1/3\end{array} \right.\) }$
$\text{b)(x²-3).(x+2)=x²-4x-7}$
$\text{$\Rightarrow$ (x²-3).(x+2)-(x²-3)+4.(x+1)=0}$
$\text{$\Rightarrow$ (x²-3).(x+2-1)+4.(x+1)=0}$
$\text{$\Rightarrow$ (x²-3).(x+1)+4.(x+1)=0}$
$\text{$\Rightarrow$(x+1).(x²+1)=0}$
$\text{$\Rightarrow$\(\left[ \begin{array}{l}x+1=0\\x^2+1=0\end{array} \right.\) }$
$\text{$\Rightarrow$ \(\left[ \begin{array}{l}x=-1\\x^2+1=0(vô nghiệm do pt >0)\end{array} \right.\) }$
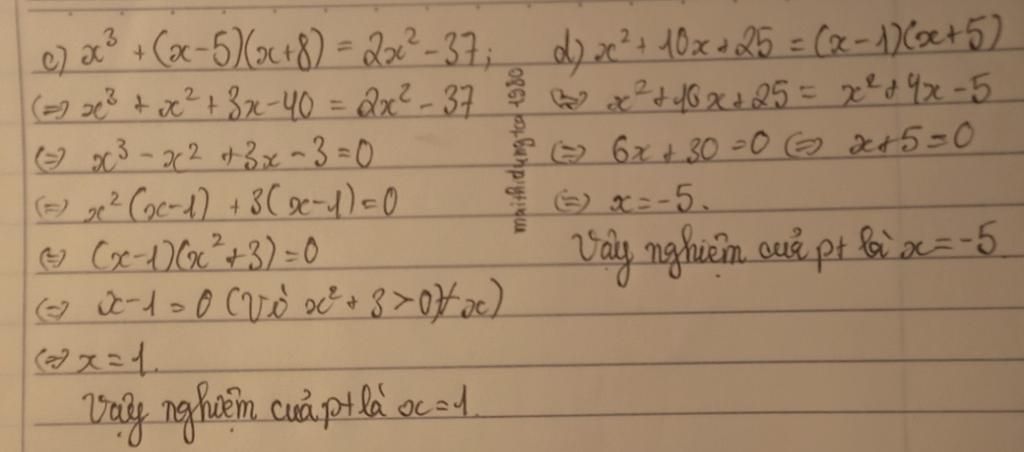
$\text{c)x³+(x-5).(x+8)=2x²-37}$
$\text{$\Rightarrow$ x³+x²+8x-5x-40-2x²+37=0}$
$\text{$\Rightarrow$ x³-x²+3x-3=0}$
$\text{$\Rightarrow$ x².(x-1)+3.(x-1)=0}$
$\text{$\Rightarrow$(x-1).(x²+3)=0}$
$\text{$\Rightarrow$\(\left[ \begin{array}{l}x-1=0\\x^2+3=0\end{array} \right.\) }$
$\text{$\Rightarrow$\(\left[ \begin{array}{l}x=1\\x^2+3=0(vô nghiệm do pt >0)\end{array} \right.\) }$
$\text{d)x²+10x+25=(x-1).(x+5)}$
$\text{$\Rightarrow$(x+5)²-(x-1).(x+5)=0}$
$\text{$\Rightarrow$(x+5).(x+5-x+1)=0}$
$\text{$\Rightarrow$6.(x+5)=0}$
$\text{$\Rightarrow$ x=-5}$
$\text{e)9x²-6x+1=4x²}$
$\text{$\Rightarrow$(3x-1)²-(2x)²=0}$
$\text{$\Rightarrow$(3x-1-2x).(3x-1+2x)=0}$
$\text{$\Rightarrow$(x-1).(5x-1)=0}$
$\text{$\Rightarrow$\(\left[ \begin{array}{l}x-1=0\\5x-1=0\end{array} \right.\) }$
$\text{$\Rightarrow$ \(\left[ \begin{array}{l}x=1\\x=1/5\end{array} \right.\) }$
$\text{f)x³+8=x²-4}$
$\text{$\Rightarrow$(x+2).(x²-2x+4)-(x-2).(x+2)=0}$
$\text{$\Rightarrow$(x+2).(x²-2x+4-x+2)=0}$
$\text{$\Rightarrow$(x+2).(x²-3x+6)=0}$
$\text{$\Rightarrow$\(\left[ \begin{array}{l}x+2=0\\x^2-3x+6=0\end{array} \right.\) }$
$\text{$\Rightarrow$\(\left[ \begin{array}{l}x=-2\\x^2-3x+6=0(vô nghiệm do pt >0)\end{array} \right.\) }$
$\text{@nguyenbidanh}$
Hãy giúp mọi người biết câu trả lời này thế nào?
Bảng tin