

Ai làm hộ mik vs ạ sossss
Hãy luôn nhớ cảm ơn và vote 5*
nếu câu trả lời hữu ích nhé!
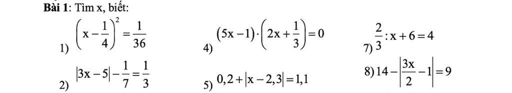
`1)`
`(x-1/4)^2=1/36`
`=>(x-1/4)^2=(1/6)^2` hoặc `(x-1/4)^2=(-1/6)^2`
`=>[(x-1/4=1/6),(x-1/4=-1/6):}`
`=>[(x=1/6+1/4),(x=1/4-1/6):}`
`=>[(x=5/12),(x=1/12):}`
Vậy `x in {5/12;1/12}`
`2)`
`|3x-5|-1/7=1/3`
`=>|3x-5|=1/3+1/7`
`=>|3x-5|=10/21`
Trường hợp `1:`
`3x-5=10/21`
`=>3.x=115/21`
`=>x=115/63`
Trường hợp `2:`
`3x-5=-10/21`
`=>3x=5-10/21`
`=>3.x=95/21`
`=>x=95/63`
Vậy `x in {115/63;95/63}`
`4)`
`(5x-1).(2x+1/3)=0`
`=>[(5x-1=0),(2x+1/3=0):}`
`=>[(5x=1),(2x=-1/3):}`
`=>[(x=1/5),(x=-1/6):}`
Vậy `x in {1/5;-1/6}`
`5)`
`0,2+|x-2,3|=1,1`
`=>|x-2,3|=1,1-0,2`
`=>|x-2,3|=0,9`
Trường hợp `1:`
`x-2,3=0,9`
`=>x=0,9+2,3`
`=>x=3,2`
Trường hợp `2:`
`x-2,3=-0,9`
`=>x=2,3-0,9`
`=>x=1,4`
Vậy `x in {3,2;1,4}`
`7)`
`2/3:x+6=4`
`=>2/3:x=-2`
`=>x=2/3:(-2)`
`=>x=-1/3`
Vậy `x=-1/3`
`8)`
`14-|(3x)/2-1|=9`
`=>|(3x-2)/2|=14-9`
`=>|(3x-2)/2|=5`
Trường hợp `1:`
`(3x-2)/2=5`
`=>3.x-2=10`
`=>3.x=12`
`=>x=4`
Trường hợp `2:`
`(3x-2)/2=-5`
`=>3.x-2=-10`
`=>3.x=2-10`
`=>3.x=-8`
`=>x=-8/3`
Vậy `x in {4;-8/3}`
Hãy giúp mọi người biết câu trả lời này thế nào?
![]()
Đáp án:
`1)` `x\in{5/12;1/12}`
`2)` `x\in{115/63;95/63}`
`4)` `x\in{1/5;-1/6}`
`5)` `x\in{3,2;1/4}`
`7)` `x=-1/3`
`8)` `x\in{4;-8/3}`
Giải thích các bước giải:
`1)`
`(x-1/4)^2=1/36`
`=>(x-1/4)^2=(1/6)^2`
TH1: `x-1/4=1/6`
`=>x=1/6+1/4`
`=>x=5/12`
TH2: `x-1/4=-1/6`
`=>x=-1/6+1/4`
`=>x=1/12`
Vậy `x\in{5/12;1/12}`
`2)`
`|3x-5|-1/7=1/3`
`=>|3x-5|=1/3+1/7`
`=>|3x-5|=10/21`
TH1: `3x-5=10/21`
`=>3x=10/21+5`
`=>3x=115/21`
`=>x=115/21:3`
`=>x=115/63`
TH2: `3x-5=-10/21`
`=>3x=-10/21+5`
`=>3x=95/21`
`=>x=95/21:3`
`=>x=95/63`
Vậy `x\in{115/63;95/63}`
`4)`
`(5x-1)(2x+1/3)=0`
TH1: `5x-1=0`
`=>5x=1`
`=>x=1/5`
TH2: `2x+1/3=0`
`=>2x=-1/3`
`=>x=-1/3:2`
`=>x=-1/6`
Vậy `x\in{1/5;-1/6}`
`5)`
`0,2+|x-2,3|=1,1`
`=>|x-2,3|=1,1-0,2`
`=>|x-2,3|=0,9`
TH1: `x-2,3=0,9`
`=>x=0,9+2,3`
`=>x=3,2`
TH2: `x-2,3=-0,9`
`=>x=-0,9+2,3`
`=>x=1,4`
Vậy `x\in{3,2;1/4}`
`7)`
`2/3:x+6=4`
`=>2/3:x=4-6`
`=>2/3:x=-2`
`=>x=2/3:(-2)`
`=>x=-1/3`
Vậy `x=-1/3`
`8)`
`14-|(3x)/2-1|=9`
`=>|(3x)/2-1|=14-9`
`=>|(3x)/2-1|=5`
TH1: `(3x)/2-1=5`
`=>(3x)/2=5+1`
`=>(3x)/2=6`
`=>3x=6*2`
`=>3x=12`
`=>x=12/3`
`=>x=4`
TH2: `(3x)/2-1=-5`
`=>(3x)/2=-5+1`
`=>(3x)/2=-4`
`=>3x=-4*2`
`=>3x=-8`
`=>x=-8/3`
Vậy `x\in{4;-8/3}`
Hãy giúp mọi người biết câu trả lời này thế nào?
Bảng tin