

Hãy luôn nhớ cảm ơn và vote 5*
nếu câu trả lời hữu ích nhé!
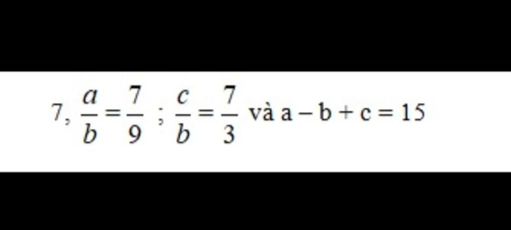
Ta có:
`a/b=7/9=>9a=7b`
`c/b=7/3=>3c=7b`
Từ đó suy ra được: `9a=7b=3c`
`=>(9a)/189=(7b)/189=(3c)/189`
`=>a/21=b/27=c/63`
Và: `a-b+c=15`
Áp dụng tính chất của dãy tỉ số bằng nhau:
`a/21=b/27=c/63=(a-b+c)/(21-27+63)=15/57`
Với `a/21 =15/57`
`=>57a=21.15=>57a=315=>a=105/19`
Với `b/27=15/57`
`=>57b=27.15=>57b=405=>b=135/19`
Với `c/63=15/57`
`=>57c=63.15`
`=>57c=945`
`=>c=315/19`
Vậy `a=105/19 , b=135/19 , c=315/19`
Hãy giúp mọi người biết câu trả lời này thế nào?

Đáp án + Giải thích các bước giải:
`a/b = 7/9 ; c/b = 7/3`
`=> a/7 = b/9 ; b/3 = c/7`
`=> a/7 = b/9 ; b/9 = c/21`
`=> a/7 = b/9 = c/21`
Theo tính chất dãy tỉ số bằng nhau ta có :
`a/7 = b/9 = c/21 = (a-b+c)/(7-9+21) = 15/19`
`=> {(a = 105/19),(b = 135/19),(c = 315/19):}`
Hãy giúp mọi người biết câu trả lời này thế nào?
Bảng tin