Đăng nhập để hỏi chi tiết


Hãy luôn nhớ cảm ơn và vote 5*
nếu câu trả lời hữu ích nhé!
Đáp án + Giải thích các bước giải:
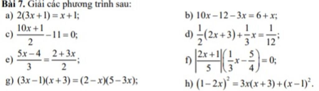
`a, 2(3x+1) = x+1`
`⇔ 6x+2=x+1`
`⇔ 6x-x=1-2`
`⇔5x=-1`
`⇔x=-1/5`
Vậy `S={-1/5}`
`b, 10x-12-3x=6+x`
`⇔10x-3x-x=6+12`
`⇔6x=18`
Vậy `S={18}`
`⇔x=3`
Hãy giúp mọi người biết câu trả lời này thế nào?

Bảng tin