Hãy luôn nhớ cảm ơn và vote 5*
nếu câu trả lời hữu ích nhé!
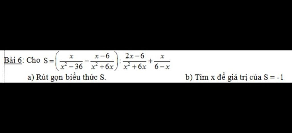
`a)ĐK:x\ne+-6,x\ne0`
`S=(x/(x^2-36)-(x-6)/(x^2+6x)):(2x-6)/(x^2+6x)+x/(6-x)`
Đặt `A=x/(x^2-36)-(x-6)/(x^2+6x)`
`=x/((x+6)(x-6))-(x-6)/(x(x+6))`
`=(x^2)/(x(x+6)(x-6))-((x-6)(x-6))/(x(x+6)(x-6))`
`=(x^2-(x-6)^2)/(x(x+6)(x-6))`
`=(x^2-(x^2-12x+36))/(x(x+6)(x-6))`
`=(x^2-x^2+12x-36)/(x(x+6)(x-6))`
`=(12x-36)/(x(x+6)(x-6))`
`=(12(x-3))/(x(x+6)(x-6))`
Đặt `B=(2x-6)/(x^2+6x)=(2(x-3))/(x(x+6))`
Khi đó: `S=A:B+x/(6-x)`
`=(12(x-3))/(x(x+6)(x-6)):(2(x-3))/(x(x+6))+ x/(6-x)`
`=(12(x-3))/(x(x+6)(x-6)).(x(x+6))/(2(x-3))-x/(x-6)`
`=6/(x-6)-x/(x-6)`
`=(6-x)/(x-6)`
`=-1`
Vậy với `x\ne+-6,x\ne0` thì `S=-1`
`b)` Để `S=-1` thì ta có đk: `x\ne0;x\ne+-6`
Hãy giúp mọi người biết câu trả lời này thế nào?
Bảng tin
0
65
0
https://hoidap247.com/cau-hoi/5545105 => help