

Hãy luôn nhớ cảm ơn và vote 5*
nếu câu trả lời hữu ích nhé!
$C3:$
$a,$ $n_{CO_2}$= $\dfrac{7,04}{44}$$=0,16(mol)$
$n_{SO_2}$= $\dfrac{11,52}{64}$$=0,18(mol)$
$\overline{M}$ =$\dfrac{7,04+11,52}{0,16+0,18}$=$54,59(g/mol)$
⇒$d_{hh/CO}=$$\dfrac{54,59}{28}$$= 1,95$
$b, $$\overline{M}$ =$\dfrac{0,6.28+0,8.16}{0,6+0,8}$=$21,14(g/mol)$
⇒$d_{hh/CO}=$$\dfrac{21,14}{28}$$= 0,755$
$C4$
$a,$ $\overline{M}$=$\dfrac{0,1.32+0,25.28+0,15.28}{0,1+0,25+0,15}$$=28,8(g/mol)$
$b,$$d_{hh/H_2}=$$\dfrac{28,8}{2}$$=14,4$
$d_{hh/kk}=$ $\dfrac{28,8}{29}$$=0,993$
$\text{câu 5 và 6 trong ảnh}$
Hãy giúp mọi người biết câu trả lời này thế nào?

Câu 3:
`a)`
`n_{CO_2}={7,04}/{44}=0,16(mol)`
`n_{SO_2}={11,52}/{64}=0,18(mol)`
`M_{hh}={7,04+11,52}/{0,16+0,18}~~54,59(g//mol)`
`d_{hh//CO}={M_{hh}}/{M_{CO}}={54,59}/{28}~~1,95`
`b)`
`M_{hh}={0,6.28+0,8.16}/{0,6+0,8}=21,14(g//mol)`
`d_{hh//CO}={M_{hh}}/{M_{CO}}={21,14}/{28}~~0,755`
Câu 4:
`a)`
$\overline{M_{hh}}=\dfrac{0,1.32+0,25.28+0,15.28}{0,1+0,25+0,15}=28,8(g//mol)$
`b)`
`d_{hh//kk}={M_{hh}}/{M_{kk}}={28,8}/{29}=0,993`
`d_{hh//H_2}={M_{hh}}/{M_{H_2}}={28,8}/{2}=14,4`
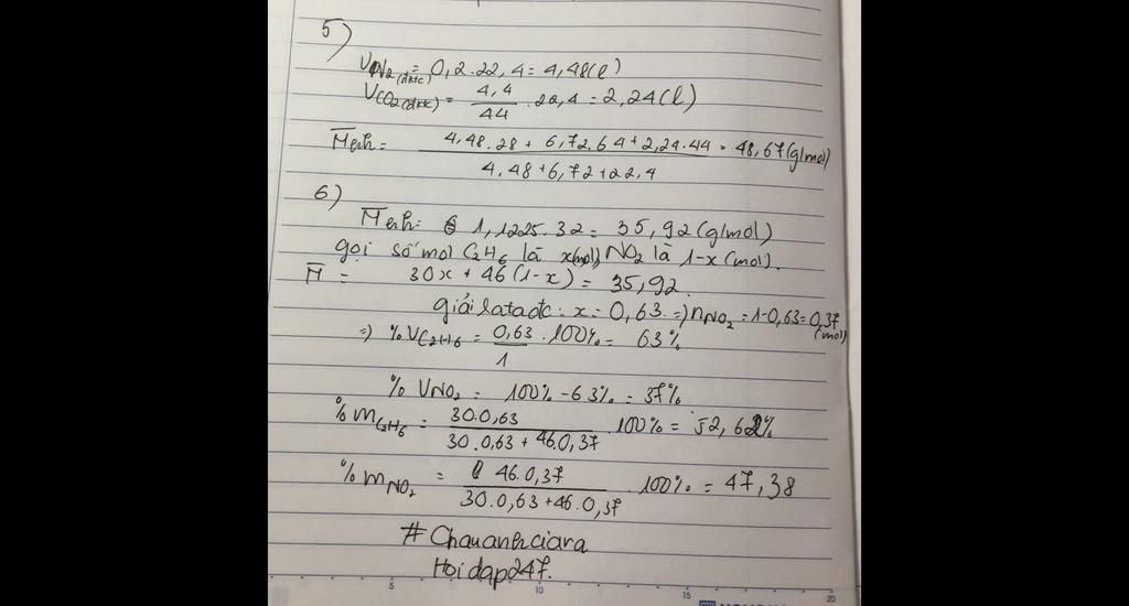
Câu 5:
`n_{SO_2}={6,72}/{22,4}=0,3(mol)`
`n_{CO_2}={4,4}/{44}=0,1(mol)`
`M_B={0,2.28+0,3.64+0,1.44}/{0,2+0,3+0,1}=48,67(g//mol)`
Câu 6:
Giả sử: `n_{hh}=1(mol):` $\begin{cases} C_2H_6:a(mol)\\NO_2:b(mol) \end{cases}$
`m_{hh}=1,1225.32.1=35,92(g)`
Hệ phương trình:
$\begin{cases} n_{hh}=a+b=1\\m_{hh}=30a+46b=35,92 \end{cases}$ `->` $\begin{cases} a=0,63(mol)\\b=0,37(mol) \end{cases}$
Phần trăm về thể tích:
`%V_{C_2H_6}={0,63}/{1}.100%=63%`
`%V_{NO_2}=100%-63%=37%`
Phần trăm về khối lượng:
`%m_{C_2H_6}={0,63.30}/{35,92}.100%=52,62%`
`%m_{NO_2}=100%-52,62%=47,38%`
Hãy giúp mọi người biết câu trả lời này thế nào?

Bảng tin
8
1881
4
Cảm ơn nhiêù
1070
17695
1101
k có gì ạ