Đăng nhập để hỏi chi tiết


Hãy luôn nhớ cảm ơn và vote 5*
nếu câu trả lời hữu ích nhé!
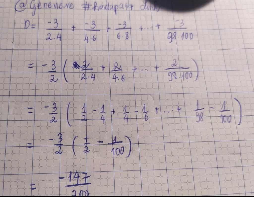
A=3/2X4 + 3/4X6 + 3/6X8 + 3/8X10 +……+ 3/98X100
A/3 =1/2X4 + 1/4X6 + 1/6X8 + 1/8X10 +……+ /98X100
2A/3=2/2X4 + 2/4X6 + 2/6X8 + 2/8X10 +……+ 2/98X100
2A/3=1/2-1/4+1/4-1/6+1/6-1/8+1/8-1/10+……+1/98-1/100
2A/3=1/2-1/100=50/100-1/100=49/100
A/3=49/100X1/2=49/200
A=49/200X3=147/200
Hãy giúp mọi người biết câu trả lời này thế nào?

Bảng tin
776
13857
462
vô nhóm ko