Đăng nhập để hỏi chi tiết


Hãy luôn nhớ cảm ơn và vote 5*
nếu câu trả lời hữu ích nhé!
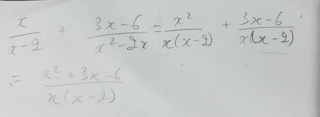
Đáp án:x^2+3x-6/x(x-2)
@nguyenvankhanh652
Giải thích các bước giải: tui ghi trong ảnh ko hiểu chỗ nào hỏi tui nhé
Hãy giúp mọi người biết câu trả lời này thế nào?
Bảng tin
0
919
0
giúp e đc ko ạ?