

Cho 9,2g một kim loại A chx rõ hóa trị tác dụng vs khí Cl2 dư, thu đc 23,4g muối. Tìm CTHH của kim loại trên (Theo 2 cách)
Hãy luôn nhớ cảm ơn và vote 5*
nếu câu trả lời hữu ích nhé!
Gọi n là hóa trị kim loại A.
`2A+nCl_2` $\xrightarrow{t^o}$ `2ACl_n`
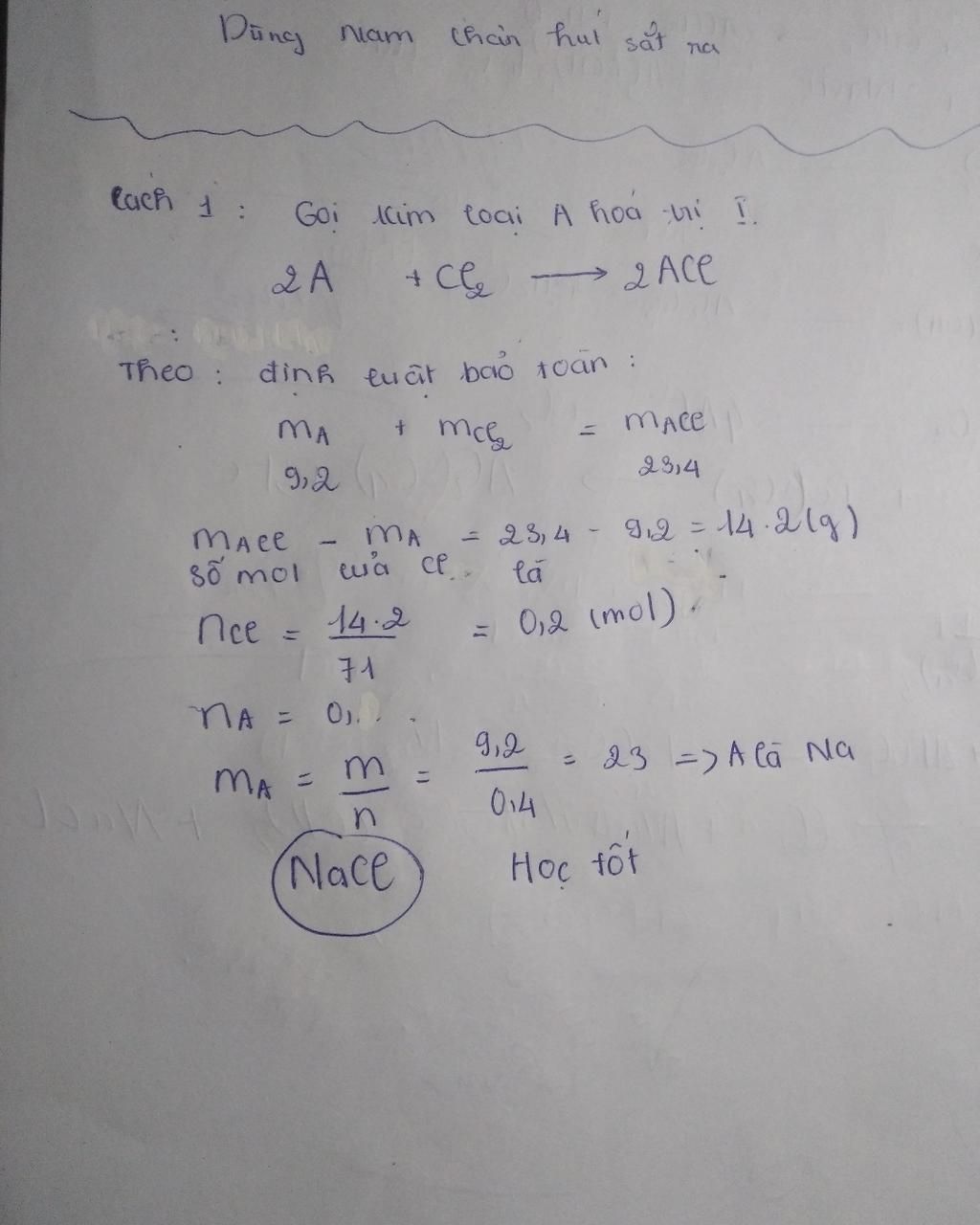
Cách 1:
Bảo toàn khối lượng:
`m_A+m_{Cl_2}=m_{m uoi}`
`->9,2+m_{Cl_2}=23,4`
`->n_{Cl_2}={23,4-9,2}/{71}=0,2(mol)`
`n_A=2/{n}.n_{Cl_2}={0,4}/{n}(mol)`
`M_A=9,2:{0,4}/{n}=23n(g//mol)`
`n=1=>M_A=23(g//mol)`
`A: So di um\ (Na)`
Cách 2:
`theo\ pt: n_A=n_{ACl_n}`
`->{9,2}/{M_A}={23,4}/{M_A+35,5n}`
`->9,2M_A+326,6n=23,4M_A`
`->326,6n=14,2M_A`
`->M_A=23n(g//mol)`
`n=1=>M_A=23(g//mol)`
`A: So di um\ (Na)`
Hãy giúp mọi người biết câu trả lời này thế nào?
Bảng tin