Đăng nhập để hỏi chi tiết


Hãy luôn nhớ cảm ơn và vote 5*
nếu câu trả lời hữu ích nhé!
Đáp án:
`(x-5)/(x+5)`
Giải thích các bước giải:
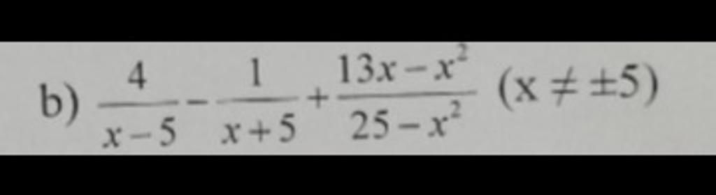
`4/(x-5)-1/(x+5)+(13x-x^2)/(25-x^2)` `(x\ne+-5)`
`=` `4/(x-5)-1/(x+5)-(13x-x^2))/(x^2-25)`
`=` `(4(x+5))/((x+5)(x-5))-(1(x-5))/((x+5)(x-5))-(13x-x^2)/((x+5)(x-5))`
`=` `(4(x+5)-1(x-5)-(13x-x^2))/((x+5)(x-5))`
`=` `(4x+20-x+5-13x+x^2)/((x+5)(x-5))`
`=` `(x^2-10x+25)/((x+5)(x-5))`
`=` `((x-5)^2)/((x+5)(x-5))`
`=` `(x-5)/(x+5)`
$#<33$
Hãy giúp mọi người biết câu trả lời này thế nào?

Bảng tin
175
-181
77
cảm ơn ạ
5205
5591
4779
hok có j ạ
175
-181
77
<3
5205
5591
4779
:33
11070
133449
7731
https://hoidap247.com/cau-hoi/5120748 `->` coá thim xth :3