

Hãy luôn nhớ cảm ơn và vote 5*
nếu câu trả lời hữu ích nhé!
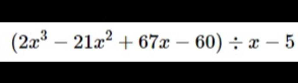
Đáp án + lời giải chi tiết:
`(2x^3 - 21x^2 + 67x - 60)` `:` `(x - 5)`
`=` `(2x^3 - 10x^2 - 11x^2 + 12x + 55x - 60)` `:` `(x - 5)`
`=` `[2x^2 . (x - 5) - 11x . (x - 5) + 12 . (x - 5)]` `:` `(x - 5)`
`=` `(2x^2 - 11x + 12)` : `(x - 5)`
`=` `2x^2` `-` `11x` `+` `12`
`@klynk`
Hãy giúp mọi người biết câu trả lời này thế nào?

Đáp án:
`(2x^3-21x^2+67x-60):(x-5)`
`=(2x^3-10x^2-11x^2+55x+12x-60):(x-5)`
`=(2x^2(x-5)-11x(x-5)+12(x-5)):(x-5)`
`=(2x^2-11x+12)(x-5):(x-5)`
`=2x^2-11x+12`
Hãy giúp mọi người biết câu trả lời này thế nào?
Bảng tin
2007
2497
3075
Ờm, ai thế ặ?
2007
2497
3075
E Chae đk nhỉ:>?
2007
2497
3075
= tủi tuii đk?
1449
1726
1317
vâng.
2007
2497
3075
Ngày xưa cs cho bt tên đou mà gọi:<
1449
1726
1317
dạ kh sao
2007
2497
3075
Thoi tớ đùa thoii mà:<
2007
2497
3075
Ngày xưa còn vk ck vs nhau mà sao xa cách vại?