

Hãy luôn nhớ cảm ơn và vote 5*
nếu câu trả lời hữu ích nhé!
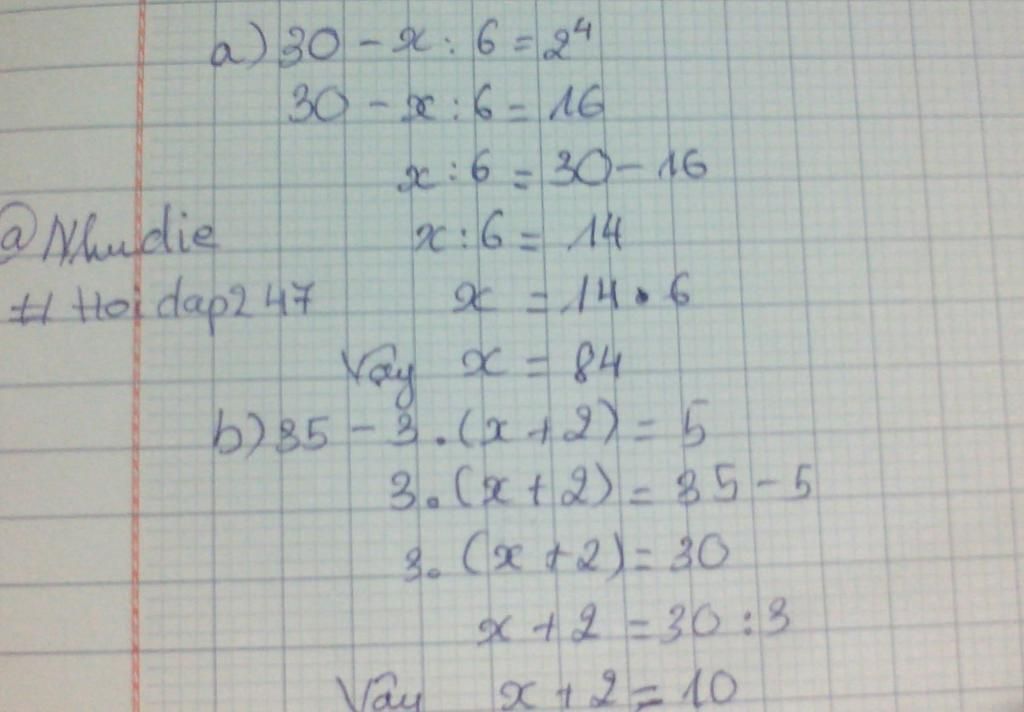
Đáp ánGiải thích các bước giải:
`a) 30 -x :6 = 2^4`
`=> 30 -x . 1/6 = 16`
`=> x .1/6 = 30 - 16`
`=>x . 1/6 = 14`
`=>x = 84`
Vậy `x=84`
---------------------------------------
`b) 35 - 3(x+2) = 5`
`=> 3(x+2) = 35-5`
`=>3(x+2)=30`
`=>x+2=10`
`=>x=8`
Vậy `x=8`
--------------------------------------
`c) 3^(x-2) -15 = 66`
`=>3^(x-2) = 66+15`
`=>3^(x-2) = 81`
`=>3^(x-2) = 3^4`
`=>x-2=4`
`=>x=6`
Vậy `x=6`
Hãy giúp mọi người biết câu trả lời này thế nào?

Bảng tin