Tham Gia Group Dành Cho Lớp 6 Chia Sẻ, Trao Đổi Tài Liệu Miễn Phí
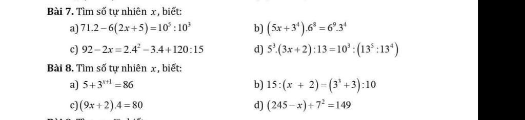
Bài 7. Tìm số tự nhiên x, biết:
71.2-6(2x+5)=105:10³
a)
c) 92-2x=2.4² -3.4+120:15
Bài 8. Tìm số tự nhiên x, biết:
a) 5+3+¹=86
c) (9x+2).4=80
b) (5x+3¹).6³ = 6².34
d) 5³. (3x+2):13=10³: (13³:134)
-2)=(3³+3):10
b) 15: (x +
d) (245-x)+7² = 149