Đăng nhập để hỏi chi tiết


Hãy luôn nhớ cảm ơn và vote 5*
nếu câu trả lời hữu ích nhé!
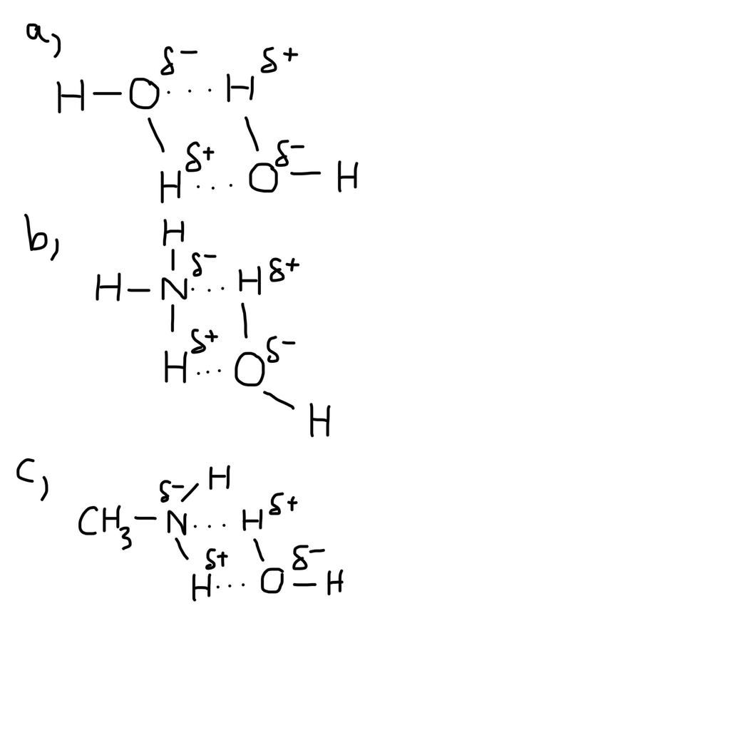
Gợi ý :
$\rm a)H-\mathop{O}\limits^{δ-}(H)\mathop{....}\limits^{←}\mathop{H}\limits^{δ+}-O-H$
$\rm b)H-H-H-\mathop{N}\limits^{δ-}\mathop{....}\limits^{←}\mathop{H}\limits^{δ+}-O-H$
$\rm c)CH_3-\mathop{N}\limits^{δ-}(H)_2\mathop{....}\limits^{←}\mathop{H}\limits^{δ+}-O-H$
`-` Lưu ý: Trong ngoặc tức là vẽ trên hoặc dưới vì $\rm text$ chỉ có thể biểu diễn được 2 chiều.
Hãy giúp mọi người biết câu trả lời này thế nào?


Bảng tin