Đăng nhập để hỏi chi tiết


Hãy luôn nhớ cảm ơn và vote 5*
nếu câu trả lời hữu ích nhé!
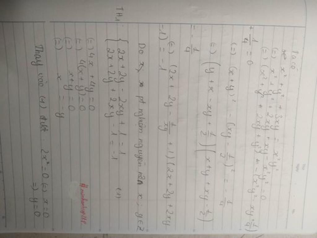
`x^2 + y^2+3xy=x^2y^2`
`(x^2+2xy+y^2)+xy=x^2y^2`
`(x+y)^2+xy=x^2y^2`
`(x+y)^2=x^2y^2-xy`
`(x+y)^2=xy(xy-1)`
Vì vế trái là số chính phương
`→` Vế phải là số chính phương
Để vế phải là số chính phương thì một trong 2 số bằng 0.
`→` $\text{ x = y = 0 là nghiệm cần tìm}$
$\color{red}{\text{@Hy~Hoctotnhaa}}$
Hãy giúp mọi người biết câu trả lời này thế nào?
Đáp án + Giải thích: (trong hình nha !)
Chữ xấu thông cảm ^^
Học tốt nha!!!
Hãy giúp mọi người biết câu trả lời này thế nào?
Bảng tin
12191
1296
12010
Thiếu nghiệm.` xy=0` hoặc `xy=1`
1137
14656
945
Oki