

Hãy luôn nhớ cảm ơn và vote 5*
nếu câu trả lời hữu ích nhé!

Đây là câu trả lời đã được xác thực
Câu trả lời được xác thực chứa thông tin chính xác và đáng tin cậy, được xác nhận hoặc trả lời bởi các chuyên gia, giáo viên hàng đầu của chúng tôi.
Đáp án:
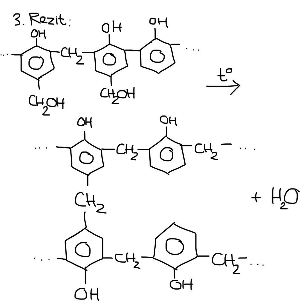
Poli(phenol-fomanđehit) hay PPF có ba dạng: nhựa novolac, nhựa rezol, nhựa rezit.
- Nhựa novolac: cho phenol dư đồng trùng ngưng với fomandehit trong môi trường axit.
- Nhựa rezol: cho phenol đồng trùng ngưng với fomandehit với tỉ lệ mol $1:1,2$ trong môi trường bazơ.
- Nhựa rezit (nhựa bakelit): đun nóng nhựa rezol ở $150^oC$ để khâu mạch polime.
PTHH: (như hình)
Hãy giúp mọi người biết câu trả lời này thế nào?
Bảng tin