

Hãy luôn nhớ cảm ơn và vote 5*
nếu câu trả lời hữu ích nhé!
Đây là câu trả lời đã được xác thực
Câu trả lời được xác thực chứa thông tin chính xác và đáng tin cậy, được xác nhận hoặc trả lời bởi các chuyên gia, giáo viên hàng đầu của chúng tôi.
Câu 1:
$\rm a)$
Công thức cấu tạo của $\rm CH_4$:
$\rm\hspace{1cm}H\\\hspace{1,055cm}|\\H-C-H\\\hspace{1,055cm}|\\\hspace{1cm}H$
Công thức cấu tạo của $\rm C_2H_6$:
$\rm \hspace{1cm}H\hspace{,55cm}H\\\hspace{1,1cm}|\hspace{,75cm}|\\H-C-C-H\\\hspace{1,1cm}|\hspace{,75cm}|\\\hspace{1cm}H\hspace{,55cm}H$
Công thức cấu tạo của $\rm CH_4O$:
$\rm\hspace{1cm}H\\\hspace{1,055cm}|\\H-C-O-H\\\hspace{1,055cm}|\\\hspace{1cm}H$
Công thức cấu tạo của $\rm CH_3Cl$:
$\rm\hspace{1cm}H\\\hspace{1,055cm}|\\H-C-Cl\\\hspace{1,055cm}|\\\hspace{1cm}H$
Công thức cấu tạo của $\rm C_2H_5ONa$:
$\rm \hspace{1cm}H\hspace{,55cm}H\\\hspace{1,1cm}|\hspace{,75cm}|\\H-C-C-O-Na\\\hspace{1,1cm}|\hspace{,75cm}|\\\hspace{1cm}H\hspace{,55cm}H$
Công thức cấu tạo của $\rm C_2H_5Br$:
$\rm \hspace{1cm}H\hspace{,55cm}H\\\hspace{1,1cm}|\hspace{,75cm}|\\H-C-C-Br\\\hspace{1,1cm}|\hspace{,75cm}|\\\hspace{1cm}H\hspace{,55cm}H$
$\rm b)$
Công thức cấu tạo (thu gọn) của $\rm C_4H_{10}$:
$\rm H_3C-CH_2-CH_2-CH_3$
$\rm H_3C-CH-CH_3\\\hspace{1,6cm}|\\\hspace{1,5cm}CH_3$
$\rm c)$
Hình 1: mạch vòng của $\rm C_3H_6$
Hình 2: mạch vòng của $\rm C_4H_8$
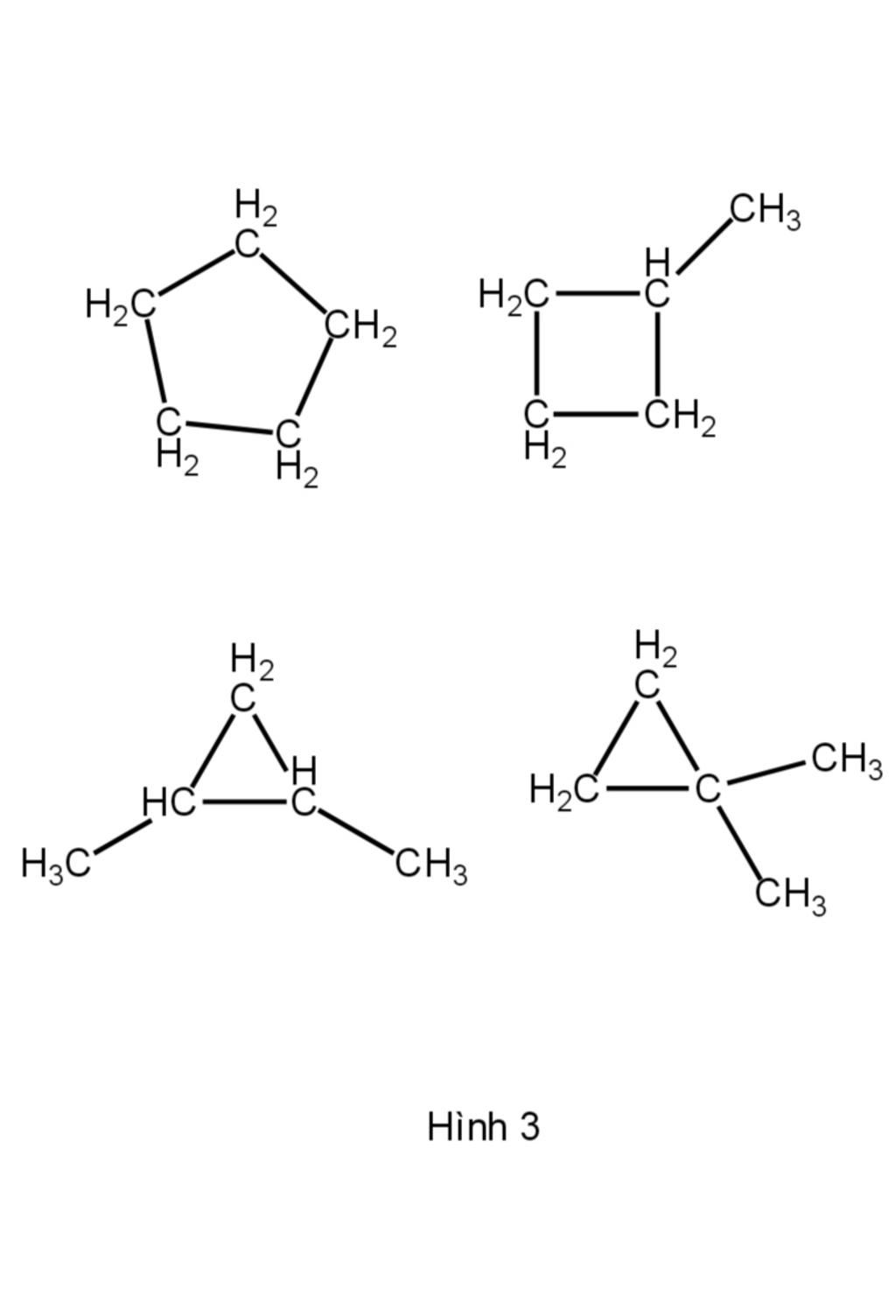
Hình 3: mạch vòng của $\rm C_5H_{10}$
Câu 2:
Hình 4.
Khái niệm:
Hợp chất hữu cơ: là hợp chất của carbon (trừ monoxide, carbon dioxide, cacbonic acid, muối: carbonate, carbide, cyanide…).
Dẫn xuất hydrocarbon: là hợp chất mà trong phân tử ngoài C, H ra còn có một hay nhiều nguyên tử của các nguyên tố khác.
Hợp chất vô cơ: là hợp chất không có mặt carbon (trừ monoxide, carbon dioxide, cacbonic acid, muối: carbonate, carbide, cyanide…).
Câu 3:
$\rm a)$
Bảo toàn nguyên tố H:
$\rm n_H=2n_{H_2O}=\dfrac{8,1×2}{18}=0,9\ (mol)$
$\rm n_C=\dfrac{4,5-0,9}{12}=0,3\ (mol)$
Tỉ lệ: $\rm n_C:n_H=0,3:0,9=1:3$
Công thức nguyên: $\rm (CH_3)_n$
$\rm M_A=(12+3)×n=30\ (g/mol)$
$\rm\to n=2$
CTPT của A: $\rm C_2H_6$
CTCT của A:
$\rm \hspace{1cm}H\hspace{,55cm}H\\\hspace{1,1cm}|\hspace{,75cm}|\\H-C-C-H\\\hspace{1,1cm}|\hspace{,75cm}|\\\hspace{1cm}H\hspace{,55cm}H$
$\rm b)$
$\rm n_A=\dfrac{4,5}{30}=0,15\ (mol)$
Phản ứng xảy ra:
$\rm C_2H_6+\dfrac{7}{2}O_2\xrightarrow{t^°}2CO_2+3H_2O$
Theo phương trình:
$\rm n_{O_2}=\dfrac{7}{2}n_{C_2H_6}=0,525\ (mol)$
$\rm V_{kk}=5V_{O_2}=0,525×22,4×5=58,8\ (L)$
Câu 4:
$\rm a)$
Phản ứng xảy ra:
$\rm CH_4+2O_2\xrightarrow{t^°}CO_2+2H_2O$
Theo phương trình:
$\rm V_{CH_4}=V_{CO_2}=5,6\ (L)$
$\rm b)$
Theo phương trình:
$\rm V_{O_2}=2V_{CO_2}=11,2\ (L)$
Hãy giúp mọi người biết câu trả lời này thế nào?
Bảng tin
4779
3725
2642
Quá ghê.
8770
18140
5342
Quá mệt mỏi
4779
3725
2642
Ko bằng xác xuất nha .
8770
18140
5342
Mess mess