

Hãy luôn nhớ cảm ơn và vote 5*
nếu câu trả lời hữu ích nhé!
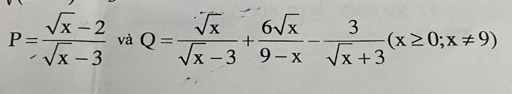
`Q=\sqrt{x}/(\sqrt{x}-3)+(6\sqrt{x})/(9-x)-3/(\sqrt{x}+3)` với `xge0` và `xne9`
`=\sqrt{x}/(\sqrt{x}-3)-(6\sqrt{x})/((\sqrt{x}-3).(\sqrt{x}+3))-3/(\sqrt{x}+3)`
`=(\sqrt{x}.(\sqrt{x}+3)-6\sqrt{x}-3.(\sqrt{x}-3))/((\sqrt{x}-3).(\sqrt{x}+3))`
`=(x+3\sqrt{x}-6\sqrt{x}-3\sqrt{x}+9)/((\sqrt{x}-3).(\sqrt{x}+3))`
`=(x-6\sqrt{x}+9)/((\sqrt{x}-3).(\sqrt{x}+3))`
`=((\sqrt{x})^2-2.\sqrt{x}.3+3^2)/((\sqrt{x}-3).(\sqrt{x}+3))`
`=(\sqrt{x}-3)^2/((\sqrt{x}-3).(\sqrt{x}+3))`
`=(\sqrt{x}-3)/(\sqrt{x}+3)`
Ta có :
`A=P.Q=(\sqrt{x}-2)/(\sqrt{x}-3).(\sqrt{x}-3)/(\sqrt{x}+3)`
`=(\sqrt{x}-2)/(\sqrt{x}+3)`
`=(\sqrt{x}+3-5)/(\sqrt{x}-3)`
`=1-5/(\sqrt{x}-3)`
`=-5/(\sqrt{x}-3)+1`
Vì `\sqrt{x}ge0AA x`
`=>\sqrt{x}-3ge-3AA x`
`=>5/(\sqrt{x}-3)le-5/3AA x`
`=>(-5)/(\sqrt{x}-3)ge-5/3AA x`
`=>(-5)/(\sqrt{x}-3)+1ge-2/3AA x`
Dấu "=" xảy ra khi :
`\sqrt{x}=0`
`<=>x=0`
Vậy GTNN của `A` là `-2/3` khi `x=0`
`-` Không có GTLN
Hãy giúp mọi người biết câu trả lời này thế nào?
![]()
Bảng tin