

Hãy luôn nhớ cảm ơn và vote 5*
nếu câu trả lời hữu ích nhé!

Đáp án:
d) $x=2$
e) $x=16$
f) $x=\dfrac{6}{25}$ hoặc $x=\dfrac{17}{4}$
Giải thích các bước giải:
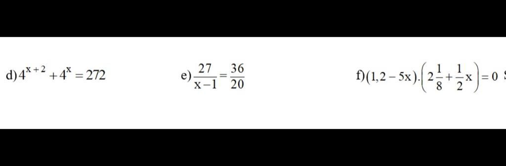
d) ${{4}^{x+2}}+{{4}^{x}}=272$
${{4}^{x}}{{.4}^{2}}+{{4}^{x}}=272$
${{4}^{x}}\left( {{4}^{2}}+1 \right)=272$
${{4}^{x}}.17=272$
${{4}^{x}}=272:17$
${{4}^{x}}=16$
${{4}^{x}}={{4}^{2}}$
$x=2$
e) $\dfrac{27}{x-1}=\dfrac{36}{20}\,\,\,\left( x\ne 1 \right)$
$x-1=\dfrac{27.20}{36}$
$x-1=15$
$x=15+1$
$x=16$ (thỏa mãn)
f) $\left( 1,2-5x \right)\cdot \left( 2\dfrac{1}{8}+\dfrac{1}{2}x \right)=0$
$1,2-5x=0$ hoặc $2\dfrac{1}{8}+\dfrac{1}{2}x=0$
$5x=1,2$ hoặc $\dfrac{1}{2}x=2\dfrac{1}{8}$
$x=1,2:5$ hoặc $x=\dfrac{17}{8}:\dfrac{1}{2}$
$x=\dfrac{6}{25}$ hoặc $x=\dfrac{17}{4}$
Hãy giúp mọi người biết câu trả lời này thế nào?

`d)`
`4^[x+2] + 4^x=272`
`=> 4^x * 4^2 + 4^x * 1 = 272`
`=> 4^x *16 + 4^x *1 = 272`
`=> 4^x *(16+1) = 272`
`=> 4^x *17 = 272`
`=> 4^x = 272 : 17`
`=> 4^x = 16`
`=> 4^x = 4^2`
`=> x = 2`
`e)`
`27/(x-1) = 36/20`
`=> 36(x-1) = 27.20`
`=> 36x-36 = 540`
`=> 36x = 540+36`
`=> 36x = 576`
`=> x = 576:36`
`=> x = 16`
`f)`
`(1,2-5x).(2 (1)/(8) +1/2x) = 0`
TH1:
`1,2-5x = 0`
`=> 5x = 1,2`
`=> x = 1,2 :5`
`=> x = 6/25`
TH2:
`2 (1)/(8) + 1/2x = 0`
`=> 17/8+1/2x=0`
`=> 1/2x = -17/8`
`=> x = (-17/8) :1/2`
`=> x = -17/4`
Vậy `x in {6/25;-17/4}`
Hãy giúp mọi người biết câu trả lời này thế nào?
Bảng tin
202
6766
155
Nhân chéo chia ngang dùng khi nào vậy ạ?
6412
88665
4620
Khi nó có dạng phân số đấy. Dạng $\dfrac{a}{b}=\dfrac{c}{d}$
202
6766
155
nếu tìm một số trong 2 phân số = nhau thì dùng đk ạ
6412
88665
4620
Uk
202
6766
155
áp dụng mọi loại bài có 2 phân số bằng nhau đk ạ