Đăng nhập để hỏi chi tiết


Hãy luôn nhớ cảm ơn và vote 5*
nếu câu trả lời hữu ích nhé!
Mong được vote 5* hoặc ctlhn!
Đáp án+giải thích các bước giải:
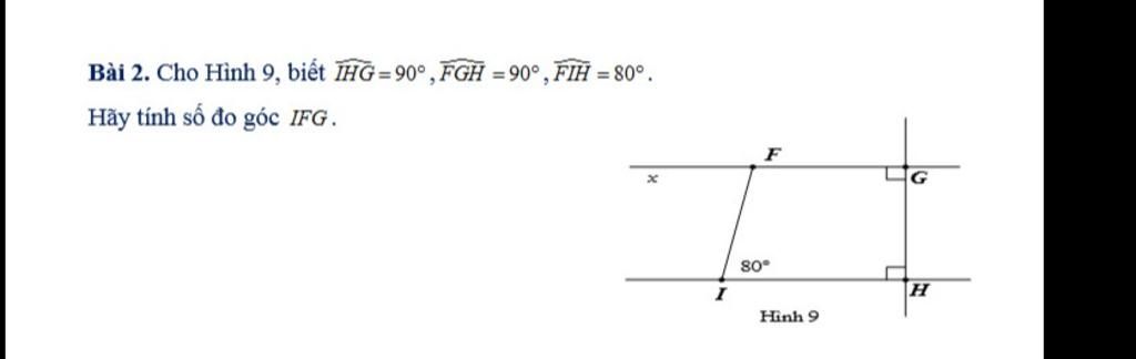
+) Tính IFG=?
Ta có: GF ⊥ GH (gt)
HI ⊥ GH (gt)
Nên GF // HI.
Ta có: GF // HI (cmt)
Nên IFG + FIH = $180^{0}$ (trong cùng phía bù nhau)
Hay IFG + $80^{0}$ = $180^{0}$
=> IFG = $180^{0}$ - $80^{0}$ = $100^{0}$
@vuthitramy7777
Bạn thêm kí hiệu góc vào nhé!
Chúc bạn học tốt!
Hãy giúp mọi người biết câu trả lời này thế nào?

Bảng tin