

Hãy luôn nhớ cảm ơn và vote 5*
nếu câu trả lời hữu ích nhé!
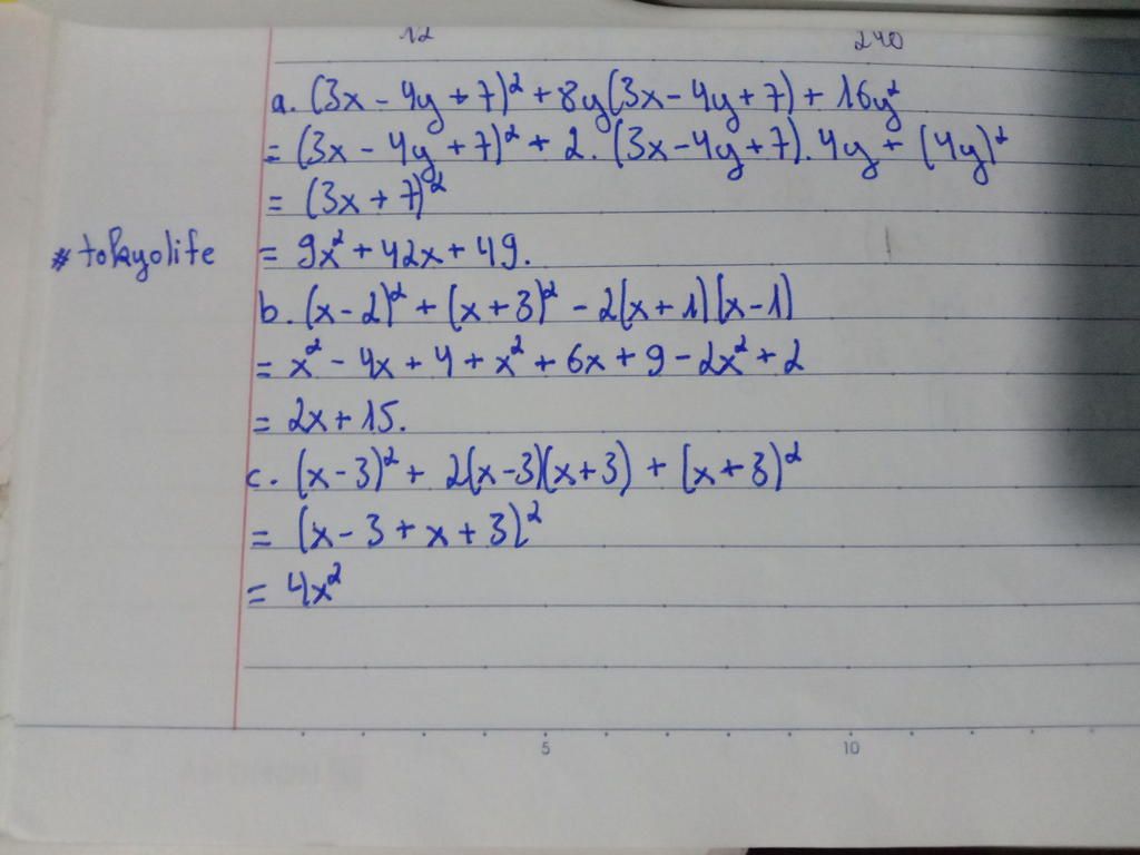
`a.`
`(3x-4y+7)^2+8y(3x-4y+7)+16y^2`
`=(3x-4y+7)^2+2.(3x-4y+7).4y+(4y)^2`
`=(3x-4y+7+4y)^2`
`=(3x+7)^2`
`=(3x)^2+2.3x.7+7^2`
`=9x^2+42x+49`
Bình phương một tổng: `(A+B)^2=A^2+2AB+B^2`
`b.`
`(x-2)^2+(x+3)^2-2(x+1)(x-1)`
`=x^2-4x+4+x^2+6x+9-2(x^2-1^2)`
`=x^2-4x+4+x^2+6x+9-2x^2+2`
`=(x^2+x^2-2x^2)+(-4x+6x)+(4+9+2)`
`=2x+15`
Bình phương một tổng: `(A+B)^2=A^2+2AB+B^2`
Bình phương một hiệu: `(A-B)^2=A^2-2AB+B^2`
Hiệu hai bình phương: `A^2-B^2=(A+B)(A-B)`
`c.`
`(x-3)^2+2(x-3)(x+3)+(x+3)^2`
`=(x-3+x+3)^2`
`=(2x)^2`
`=4x^2`
Bình phương một tổng: `(A+B)^2=A^2+2AB+B^2`
Hãy giúp mọi người biết câu trả lời này thế nào?

Bảng tin