Vui lòng chỉ chọn một câu hỏi
Hoidap247.com Nhanh chóng, chính xác
+
Danh mục mới
13
411
5
Hãy luôn nhớ cảm ơn và vote 5* nếu câu trả lời hữu ích nhé!
155
3202
105
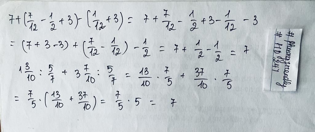
1) 7+(7/12-1/2+3)-(1/12+3)
=7+(1/12+3)-(1/12+3)
=7
2) 3/10 : 5/7+3
=21/50+3
171/30
3) 7/10 : 5/7
=49/50
Hãy giúp mọi người biết câu trả lời này thế nào?
3818
408
nhìn lú hahaha
cày cho nhóm tui cái nha
cayd ik ạ
cảm ơn
ông cày cho nhóm ik nha tui đi chơi đây
11995
225782
11876
Đáp án:
Giải thích các bước giải:
Bảng tin
Gửi yêu cầu Hủy
105
3818
408
nhìn lú hahaha
105
3818
408
cày cho nhóm tui cái nha
105
3818
408
cayd ik ạ
105
3818
408
cảm ơn
105
3818
408
ông cày cho nhóm ik nha tui đi chơi đây