Đăng nhập để hỏi chi tiết


Hãy luôn nhớ cảm ơn và vote 5*
nếu câu trả lời hữu ích nhé!
Đáp án:
Giải thích các bước giải:
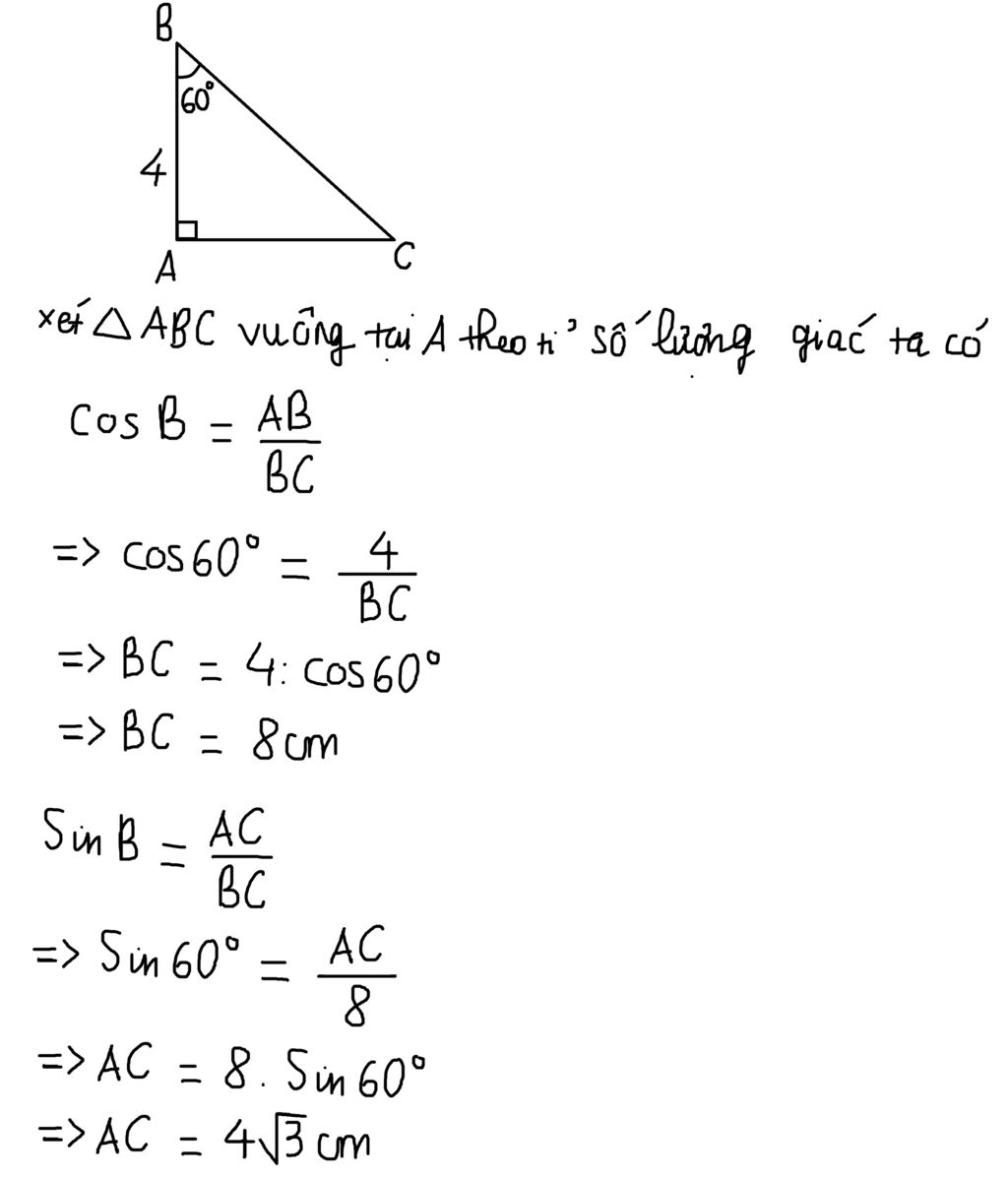
Xét tam giác ABC vuông tại A có:
`tg B = \frac{AC}{AB}`
`=> AC = tg B . AB = tg 60^0 . 4 = 4\sqrt{3}cm`
`sin B = (AC)/(BC)`
`=> BC = (AC)/(sin B) = (4\sqrt{3})/(sin 60^0) = 8cm`
Vậy `AC = 4\sqrt{3}cm; BC = 8cm`
Hình vẽ:
Hãy giúp mọi người biết câu trả lời này thế nào?
Bảng tin