Đăng nhập để hỏi chi tiết


Hãy luôn nhớ cảm ơn và vote 5*
nếu câu trả lời hữu ích nhé!

Giải thích các bước giải:
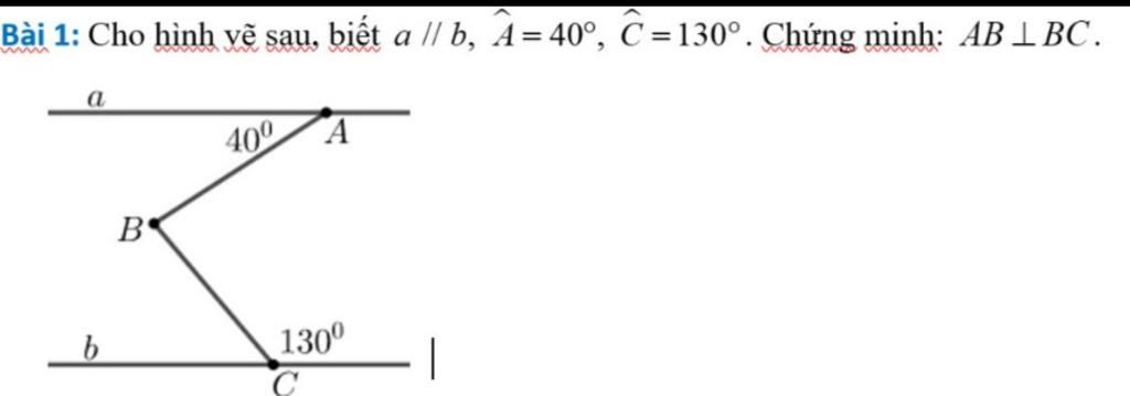
Kẻ $Bc//a$
Vì $a//b\to Bc//b$
Ta có: $Bc//a\to \widehat{ABc}=\widehat{BAa}=40^o$ (so le trong)
$Bc//b\to \widehat{cBC}=180^o-130^o=50^o$ (trong cùng phía)
$\to\widehat{ABC}=\widehat{ABc}+\widehat{cBC}=40^o+50^o=90^o$
$\to AB\perp BC$
Hãy giúp mọi người biết câu trả lời này thế nào?

Bảng tin