Đăng nhập để hỏi chi tiết


Hãy luôn nhớ cảm ơn và vote 5*
nếu câu trả lời hữu ích nhé!
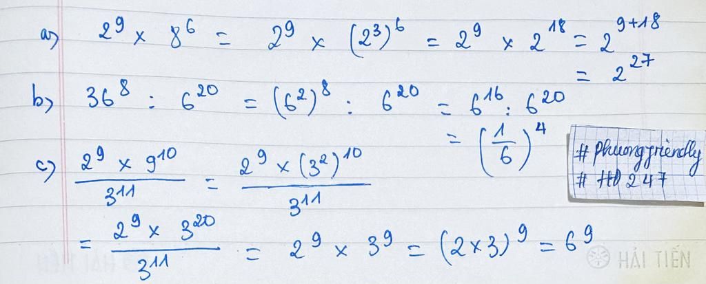
`a) 2^9*8^6`
`= 2^9 * (2^3)^6`
`= 2^9 * 2^18`
`= 2^(9+18)`
`= 2^27`
`b) 36^8 : 6^20`
`= (6^2)^8 : 6^20`
`= 6^16 : 6^20`
`= 1/6^4`
`= (1/6)^4`
`c) (2^9*9^10)/(3^11)`
`= (2^9*(3^2)^10)/(3^11)`
`= (2^9*3^20)/(3^11)`
`= (2^9*3^9)/1`
`= (2*3)^9`
`= 6^9`
Hãy giúp mọi người biết câu trả lời này thế nào?
Bảng tin